图谱信息 供应商 相关产品
网站主页CAS数据库列表 303-43-5更多图谱胆固醇油酸酯(303-43-5)红外图谱(IR2)

胆固醇油酸酯

产品名称 胆固醇油酸酯

CAS号303-43-5

分子式C45H78O2

分子量651.12


  • Mass

    MS-NW-9604          
    5-cholesten-3beta-yl oleate
    C45H78O2            (Mass of molecular ion:    650)
    

       Source Temperature: 250 °C
       Sample Temperature: 180 °C
       Direct, 75 eV
    

          18.0       2.6
          27.0       1.6
          28.0       1.1
          29.0       4.5
          39.0       2.0
          41.0      15.3
          42.0       2.2
          43.0      15.5
          53.0       2.0
          54.0       4.4
          55.0      26.7
          56.0       7.0
          57.0      16.7
          60.0       2.5
          65.0       1.2
          67.0      16.3
          68.0       6.3
          69.0      24.5
          70.0       7.7
          71.0      10.4
          73.0       4.1
          77.0       2.9
          78.0       1.2
          79.0       9.8
          80.0       2.8
          81.0      31.3
          82.0      10.1
          83.0      20.8
          84.0       8.3
          85.0       4.8
          87.0       1.6
          91.0      11.8
          92.0       3.2
          93.0      13.2
          94.0       4.8
          95.0      22.0
          96.0       9.5
          97.0      16.8
          98.0       8.1
          99.0       2.1
         100.0       1.1
         101.0       1.9
         104.0       1.2
         105.0      16.1
         106.0       6.3
         107.0      15.6
         108.0       7.3
         109.0      15.0
         110.0       6.3
         111.0       9.7
         112.0       3.4
         113.0       1.6
         114.0       2.2
         115.0       2.9
         116.0       1.2
         117.0       6.0
         118.0       3.7
         119.0       9.5
         120.0       8.9
         121.0      15.5
         122.0       4.8
         123.0       8.4
         124.0       3.9
         125.0       4.7
         126.0       1.7
         127.0       2.3
         128.0       2.6
         129.0       5.6
         130.0       2.2
         131.0      10.0
         132.0       2.7
         133.0      12.2
         134.0       4.9
         135.0      12.5
         136.0       3.2
         137.0       5.5
         138.0       2.8
         139.0       2.6
         140.0       1.0
         141.0       2.8
         142.0       2.3
         143.0       8.6
         144.0       4.0
         145.0      25.6
         146.0      10.2
         147.0      28.9
         148.0       9.6
         149.0       9.5
         150.0       1.9
         151.0       4.4
         152.0       2.3
         153.0       1.9
         155.0       1.6
         156.0       1.1
         157.0       5.5
         158.0       4.3
         159.0      12.3
         160.0      12.3
         161.0      12.3
         162.0       4.0
         163.0       9.2
         164.0       1.7
         165.0       3.6
         166.0       1.7
         167.0       1.2
         169.0       1.3
         171.0       3.6
         172.0       1.9
         173.0       5.1
         174.0       2.6
         175.0       4.0
         176.0       1.4
         177.0       2.9
         179.0       2.1
         180.0       1.6
         181.0       1.1
         183.0       1.2
         185.0       4.4
         186.0       1.6
         187.0       2.3
         189.0       1.7
         191.0       3.1
         192.0       1.1
         193.0       3.2
         194.0       1.4
         197.0       2.9
         198.0       1.1
         199.0       4.4
         200.0       2.9
         201.0       4.4
         202.0       1.1
         203.0       1.2
         205.0       2.8
         206.0       3.7
         207.0       2.4
         208.0       1.0
         211.0       1.8
         212.0       1.1
         213.0      12.1
         214.0       3.8
         215.0       3.5
         216.0       1.3
         217.0       1.1
         219.0       2.2
         220.0       1.9
         221.0       1.4
         222.0       1.5
         227.0       2.2
         228.0       3.6
         229.0       3.4
         230.0       1.0
         231.0       1.2
         235.0       1.1
         239.0       1.0
         241.0       1.6
         243.0       1.0
         245.0       2.6
         246.0       5.0
         247.0      26.1
         248.0       5.6
         253.0       2.1
         254.0       1.1
         255.0      19.8
         256.0       5.0
         257.0       2.6
         258.0       1.2
         259.0       2.6
         260.0      19.9
         261.0       5.8
         262.0       1.1
         264.0       5.4
         265.0       1.4
         274.0       2.4
         275.0       1.3
         282.0       1.4
         283.0       2.2
         284.0       1.1
         314.0       1.5
         326.0       2.9
         327.0       1.0
         351.0       1.1
         352.0       1.2
         353.0      20.0
         354.0       5.8
         355.0       2.2
         366.0       3.7
         367.0       2.4
         368.0     100.0
         369.0      36.8
         370.0       8.6
         371.0       1.5
    

400 MHz in CDCl3


  • 1H NMR 399.65 MHz
    C45 H78 O2 0.058 g : 0.5 ml CDCl3
    5-cholesten-3beta-yl oleate
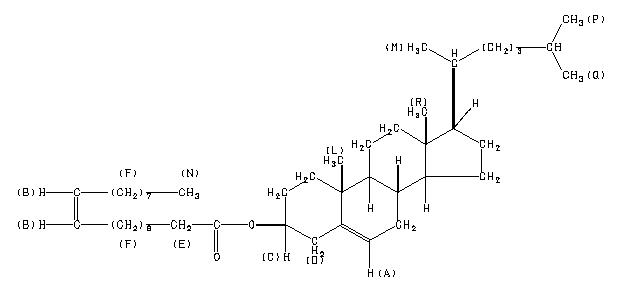
    ChemicalStructure
        Assign.     Shift(ppm)
    A 5.38 B 5.34 C 4.617 D 2.31 E 2.264 F 1.30 to 1.27 L 1.018 M 0.915 N 0.88 P *1 0.867 Q *1 0.862 R 0.676

         Hz     ppm     Int.
    

       2149.29   5.378    145
       2146.48   5.371    115
       2146.12   5.370    115
       2144.65   5.367    110
       2144.29   5.366    111
       2141.60   5.359     97
       2138.79   5.352     75
       2137.82   5.350     75
       2135.74   5.345    154
       2133.18   5.338     65
       2132.20   5.336     68
       2129.64   5.329     61
       1848.63   4.626     43
       1838.99   4.602     45
        926.88   2.320    154
        919.56   2.301    124
        912.23   2.283    155
        904.79   2.264    245
        897.22   2.246    149
        800.17   2.003    200
        735.96   1.842    147
        599.85   1.501    159
        538.33   1.348    233
        535.89   1.341    254
        530.88   1.329    372
        530.64   1.328    372
        529.79   1.326    371
        520.51   1.303    673
        506.35   1.267    673
        501.83   1.256    532
        450.93   1.129    210
        407.23   1.019   1000
        402.71   1.008    151
        393.55   0.985    114
        382.32   0.957    113
        376.83   0.943     94
        376.46   0.942     94
        368.90   0.924    498
        366.09   0.917    150
        362.43   0.907    484
        358.64   0.898    230
        355.83   0.891    166
        352.05   0.881    543
        349.73   0.876    927
        347.90   0.871    914
        344.73   0.863    315
        343.14   0.859    850
        341.31   0.855    819
        270.51   0.677    971
    

in CDCl3



KBr disc



liquid film



nujol mull