图谱信息 供应商 相关产品
网站主页CAS数据库列表 304-28-9更多图谱二乙酰氨基芴(304-28-9)红外图谱(IR1)

二乙酰氨基芴

产品名称 二乙酰氨基芴

CAS号304-28-9

分子式C17H16N2O2

分子量280.32

展开

90 MHz in DMSO-d6


  • 1H NMR 89.56 MHz
    C17 H16 N2 O2 0.039 g : 0.5 ml DMSO-d6
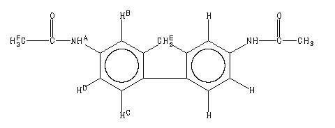
    2,7-diacetamidofluorene
    ChemicalStructure
        Assign.     Shift(ppm)
    A 9.96 B 7.88 C 7.69 D 7.51 E 3.872 F 2.078 J(C,D)=8.3 HZ. J(B,D)=1.8 HZ.

         Hz     ppm     Int.
    

        891.81   9.958    146
        705.94   7.883    146
        705.25   7.875    155
        704.94   7.872    157
        694.50   7.755     98
        686.25   7.663    212
        676.25   7.551    124
        674.44   7.531    111
        667.88   7.458     50
        666.13   7.438     49
        350.06   3.909     29
        346.75   3.872    156
        190.44   2.127     65
        190.06   2.123     65
        186.13   2.079   1000
    

in DMSO-d6



KBr disc