图谱信息 供应商 相关产品
网站主页CAS数据库列表 3048-65-5更多图谱四氢茚(3048-65-5)红外图谱(IR1)

四氢茚

产品名称 四氢茚

CAS号3048-65-5

分子式C9H12

分子量120.19

展开


  • Mass

    MS-IW-2206          
    3a,4,7,7a-tetrahydroindene
    C9H12               (Mass of molecular ion:    120)
    

       Source Temperature: 220 °C
       Sample Temperature: 160 °C
       Reservoir, 75 eV
    

          27.0       3.2
          39.0       8.7
          40.0       2.7
          41.0       3.8
          50.0       1.3
          51.0       3.6
          52.0       1.5
          53.0       2.5
          54.0       1.2
          63.0       1.8
          65.0       6.2
          66.0     100.0
          67.0       7.4
          77.0       9.0
          78.0       6.1
          79.0      14.1
          80.0       1.2
          91.0      11.1
          92.0       5.2
         103.0       1.1
         105.0       4.0
         115.0       1.9
         117.0       1.2
         120.0      29.9
         121.0       3.0
    

400 MHz in CDCl3


  • 1H NMR 399.65 MHz
    C9 H12 0.05 ml : 0.5 ml CDCl3
    3a,4,7,7a-tetrahydroindene
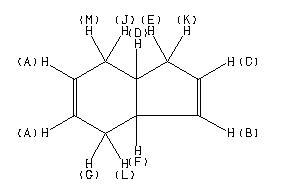
    ChemicalStructure
        Assign.     Shift(ppm)
    A 5.83 B 5.670 C 5.612 D 2.811 E *1 2.487 F 2.414 G *2 2.241 J *3 2.148 K *1 1.998 L *2 1.86 M *3 1.82 ASSIGNED BY C-H COSY

         Hz     ppm     Int.
    

       2338.87   5.853    288
       2337.16   5.849    360
       2336.55   5.847    413
       2335.08   5.843    433
       2334.47   5.842    557
       2333.62   5.840    821
       2332.76   5.838   1000
       2330.57   5.832    986
       2329.47   5.829    730
       2328.00   5.826    468
       2326.78   5.823    398
       2326.05   5.821    367
       2324.10   5.816    287
       2273.07   5.688    204
       2270.87   5.683    517
       2268.68   5.677    508
       2267.33   5.674    346
       2265.14   5.668    778
       2262.94   5.663    792
       2260.86   5.658    353
       2248.17   5.626    339
       2246.09   5.621    801
       2244.14   5.616    768
       2242.07   5.611    419
       2240.36   5.606    541
       2238.40   5.601    530
       2236.33   5.596    238
       1129.15   2.826    304
       1126.83   2.820    345
       1124.88   2.815    242
       1124.02   2.813    264
       1123.54   2.812    267
       1121.22   2.806    355
       1119.02   2.800    326
       1116.58   2.794    201
       1115.84   2.793    185
       1113.28   2.786    187
       1009.16   2.526    296
       1007.08   2.520    299
       1001.10   2.505    436
        998.90   2.500    440
        996.70   2.494    182
        993.65   2.487    284
        991.46   2.481    293
        987.67   2.472    244
        985.60   2.467    580
        983.28   2.461    578
        981.08   2.455    368
        974.61   2.439    280
        973.02   2.435    226
        970.21   2.428    255
        968.63   2.424    354
        966.55   2.419    376
        963.99   2.413    200
        962.16   2.408    396
        960.33   2.403    319
        955.57   2.392    257
        953.98   2.388    200
        910.77   2.279    246
        907.59   2.271    195
        903.08   2.260    275
        899.66   2.252    209
        895.63   2.242    222
        894.41   2.238    196
        892.33   2.233    209
        890.01   2.227    217
        888.31   2.223    241
        887.57   2.221    200
        886.84   2.220    232
        882.32   2.208    228
        873.17   2.185    185
        869.02   2.175    195
        868.65   2.174    195
        867.68   2.172    234
        856.32   2.143    234
        852.91   2.135    335
        851.07   2.130    201
        849.61   2.126    222
        845.95   2.117    273
        809.57   2.026    295
        807.37   2.021    424
        805.05   2.015    427
        802.98   2.010    328
        793.95   1.987    293
        791.87   1.982    407
        789.55   1.976    352
        787.23   1.970    244
        748.29   1.873    351
        746.58   1.869    524
        743.16   1.860    443
        741.09   1.855    538
        738.65   1.849    329
        733.89   1.837    220
        731.32   1.830    423
        728.15   1.822    369
        725.59   1.816    400
        725.22   1.815    403
        723.75   1.811    300
    

in CDCl3



liquid film