图谱信息 供应商 相关产品
网站主页CAS数据库列表 3054-95-3更多图谱丙烯醛缩二乙醇(3054-95-3)核磁图(1HNMR)

丙烯醛缩二乙醇

产品名称 丙烯醛缩二乙醇

CAS号3054-95-3

分子式C7H14O2

分子量130.18

展开


  • Mass

    MS-NW-0946          
    acrylaldehyde diethyl acetal
    C7H14O2             (Mass of molecular ion:    130)
    

       Source Temperature: 280 °C
       Sample Temperature: 150 °C
       Reservoir, 75 eV
    

          15.0       1.2
          26.0       2.7
          27.0      13.7
          28.0       5.4
          29.0      22.3
          30.0       1.0
          31.0       7.2
          39.0       3.0
          41.0       1.5
          43.0       2.5
          44.0       1.1
          45.0       7.8
          47.0      17.4
          55.0       6.4
          56.0       2.5
          57.0     100.0
          58.0       6.3
          73.0       5.5
          74.0       2.3
          75.0       6.2
          85.0      67.3
          86.0       8.2
         103.0       7.7
    

90 MHz in CDCl3


  • 1H NMR 89.56 MHz
    C7 H14 O2 0.04 ml : 0.5 ml CDCl3
    acrylaldehyde diethyl acetal
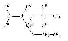
    ChemicalStructure
        Assign.     Shift(ppm)
    A 5.816 B 5.398 C 5.278 D 4.870 E *1 3.66 F *1 3.49 G 1.22 J(A,B) = 17.3 HZ. J(A,C) = 10.0 HZ. J(A,D) = 4.8 HZ. J(B,C) = 2.2 HZ. J(E,F) = 9.4 HZ. J(E,G) = 7.1 HZ. J(F,G) = 7.0 HZ.

         Hz     ppm     Int.
    

        531.38   5.934     33
        526.63   5.881     34
        524.06   5.852     51
        519.25   5.798     58
        514.00   5.740     77
        509.31   5.687     86
        490.94   5.482     54
        489.94   5.471     57
        488.69   5.457     94
        487.81   5.447     92
        478.06   5.338     75
        477.00   5.327     78
        475.81   5.313     50
        474.88   5.303     52
        473.63   5.289     40
        472.56   5.277     46
        470.44   5.253     32
        468.13   5.227     40
        466.94   5.214     45
        465.88   5.202     42
        464.81   5.190     47
        439.31   4.906     41
        438.44   4.896     82
        437.44   4.885     45
        434.63   4.853     41
        433.69   4.843     74
        432.63   4.831     39
        336.81   3.761     47
        334.56   3.736    103
        329.63   3.681     50
        327.38   3.656    191
        321.00   3.585    194
        320.19   3.576    195
        318.63   3.558     35
        314.00   3.507    185
        313.13   3.497     97
        311.50   3.479     53
        307.13   3.430     83
        304.50   3.400     50
        116.19   1.298    456
        114.75   1.282     63
        113.56   1.268     37
        109.19   1.220   1000
        107.69   1.203    118
        106.50   1.190     64
        102.13   1.141    384
        100.69   1.125     50
    

in CDCl3



CCl4 solution



liquid film