400 MHz in CDCl3
-
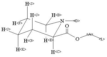
1H NMR 399.65 MHz C9 H17 N O2 0.05 ml : 0.5 ml CDCl3 ethyl 1-methyl-2-piperidinecarboxylate 
Assign. Shift(ppm)
A 4.213 B 2.959 C 2.710 D 2.261 E 2.073 F 1.846 G 1.73 J 1.65 K 1.31 L 1.285
Hz ppm Int.1694.46 4.240 161 1687.26 4.222 427 1680.18 4.205 430 1673.10 4.187 164 1191.41 2.982 44 1188.48 2.974 71 1187.74 2.972 69 1184.57 2.965 40 1183.84 2.963 40 1180.79 2.955 40 1180.05 2.953 39 1177.00 2.946 75 1173.46 2.937 36 1172.12 2.933 36 1090.09 2.728 93 1086.79 2.720 93 1079.71 2.702 99 1076.54 2.694 96 903.69 2.262 1000 841.55 2.106 56 837.52 2.096 57 830.20 2.078 69 827.27 2.070 71 826.05 2.067 58 819.70 2.052 51 815.92 2.042 51 748.05 1.872 42 746.83 1.869 39 744.63 1.864 42 743.65 1.861 44 739.26 1.850 39 735.23 1.840 58 734.25 1.838 51 731.81 1.832 55 730.83 1.829 61 727.78 1.822 30 708.37 1.773 33 707.76 1.771 33 704.59 1.764 48 703.86 1.762 47 699.83 1.752 42 695.80 1.742 41 691.89 1.732 52 690.92 1.729 56 687.13 1.720 62 685.30 1.715 30 682.13 1.707 56 680.79 1.704 31 678.22 1.698 51 676.76 1.694 34 674.44 1.688 54 672.00 1.682 56 670.65 1.679 84 666.99 1.669 93 663.45 1.661 88 660.16 1.652 94 659.30 1.650 100 656.86 1.644 113 653.20 1.635 135 649.29 1.625 83 647.46 1.621 53 645.87 1.617 38 644.78 1.614 36 643.68 1.611 48 534.67 1.338 33 527.22 1.320 35 520.87 1.304 456 518.19 1.297 42 513.67 1.286 742 506.59 1.268 449
更多供应商




