图谱信息 供应商 相关产品
网站主页CAS数据库列表 3096-57-9更多图谱2-氨基-9-芴酮(3096-57-9)核磁图(1HNMR)

2-氨基-9-芴酮

产品名称 2-氨基-9-芴酮

CAS号3096-57-9

分子式C13H9NO

分子量195.22

展开


  • Mass

    MS-NW-6343          
    2-amino-9-fluorenone
    C13H9NO             (Mass of molecular ion:    195)
    

       Source Temperature: 190 °C
       Sample Temperature: 140 °C
       Direct, 75 eV
    

          39.0       1.1
          62.0       1.3
          63.0       2.3
          69.5       2.5
          70.0       1.3
          70.5       2.4
          74.0       1.2
          75.0       1.2
          82.5       1.7
          83.5       6.1
          86.0       1.0
          87.0       1.4
          89.0       1.3
          97.5       2.8
         113.0       1.7
         114.0       1.1
         115.0       1.1
         138.0       1.5
         139.0      14.6
         140.0       6.3
         141.0       1.1
         150.0       1.1
         164.0       1.1
         166.0       5.2
         167.0       6.1
         168.0       3.2
         194.0       2.3
         195.0     100.0
         196.0      14.7
         197.0       1.3
    

400 MHz in CDCl3

90 MHz in CDCl3


  • 1H NMR 399.65 MHz
    C13 H9 N O saturated in CDCl3
    2-amino-9-fluorenone
    ChemicalStructure
        Assign.     Shift(ppm)
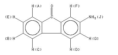
    A 7.549 B 7.382 C 7.320 D 7.252 E 7.133 F 6.957 G 6.709 J 3.91 J(A,B) = 1.2 HZ, J(A,E) = 7.3 HZ, J(B,C) = 7.5 HZ, J(C,E) = 1.0 HZ, J(D,G) = 7.9 HZ, J(F,G) = 2.2 HZ.

         Hz     ppm     Int.
    

       3021.61   7.561    406
       3020.87   7.559    570
       3020.02   7.557    435
       3014.28   7.543    443
       3013.55   7.541    619
       2959.35   7.405    243
       2958.13   7.402    254
       2956.18   7.397     43
       2951.90   7.387    643
       2950.68   7.384    655
       2947.75   7.376     48
       2947.39   7.375     47
       2944.46   7.368    487
       2943.24   7.365    478
       2935.18   7.345     35
       2933.72   7.341     32
       2928.71   7.329    544
       2927.98   7.327    824
       2924.07   7.317     57
       2923.46   7.316     55
       2921.26   7.310    348
       2920.53   7.308    488
       2902.22   7.262    985
       2898.19   7.252     61
       2897.83   7.251     61
       2894.29   7.243    961
       2890.50   7.233     36
       2860.47   7.158     36
       2857.79   7.151    398
       2856.81   7.149    393
       2854.13   7.142     48
       2850.46   7.133    682
       2849.37   7.130    679
       2843.02   7.114    320
       2842.04   7.112    313
       2781.49   6.960    943
       2779.30   6.955   1000
       2686.16   6.722    677
       2683.84   6.716    651
       2678.22   6.702    634
       2675.90   6.696    608
       1562.74   3.911    138
    


  • 1H NMR 89.56 MHz
    C13 H9 N O 0.049 g : 0.5 ml CDCl3
    2-amino-9-fluorenone
    ChemicalStructure
        Assign.     Shift(ppm)
    A 7.54 B 7.38 C 7.32 D 7.25 E 7.13 F 6.95 G 6.70 J 3.89 B,C AND E WERE CONFIRMED BY LAOCN PROGRAM. 400MHZ : HSP-41-745

         Hz     ppm     Int.
    

        679.75   7.590    310
        676.76   7.557    111
        676.33   7.552    107
        672.49   7.509    452
        667.36   7.452     95
        666.33   7.441     90
        662.92   7.402    281
        661.72   7.389    291
        655.74   7.322   1000
        653.52   7.298    625
        650.78   7.267    369
        650.27   7.261    361
        645.14   7.204    795
        638.56   7.130    264
        637.96   7.124    271
        636.34   7.106    234
        633.09   7.069    103
        631.73   7.054    134
        630.62   7.042    107
        629.76   7.032    115
        629.33   7.027    121
        623.69   6.964    515
        621.73   6.943    595
        604.81   6.754    365
        602.50   6.728    319
        596.86   6.665    271
        594.73   6.641    240
        347.61   3.882    339
    

in CDCl3



KBr disc



nujol mull