图谱信息 供应商 相关产品
网站主页CAS数据库列表 3127-14-8更多图谱螺二环己烷(3127-14-8)质谱(MS)

螺二环己烷

产品名称 螺二环己烷

CAS号3127-14-8

分子式C21H24O4

分子量340.41

展开


  • Mass

    MS-IW-4048          
    4,4,4',4'-tetramethyl-2,2'-spirobicromane-7,7'-diol
    C21H24O4            (Mass of molecular ion:    340)
    

       Source Temperature: 180 °C
       Sample Temperature: 140 °C
       Direct, 75 eV
    

          17.0       1.6
          18.0       8.6
          39.0       1.1
          41.0       2.1
          43.0       2.4
          53.0       1.0
          55.0       1.7
          65.0       1.3
          69.0       2.1
          77.0       3.2
          79.0       2.2
          81.0       1.5
          91.0       2.6
          93.0       1.0
         103.0       1.2
         105.0       1.6
         107.0       3.6
         115.0       1.0
         119.0       1.8
         121.0       1.3
         123.0       6.6
         131.0       2.1
         132.0       1.8
         135.0       5.3
         137.0       5.6
         138.5       1.9
         146.0       2.5
         147.0       4.6
         148.0       1.1
         149.0       2.4
         150.0       5.5
         151.0     100.0
         152.0      10.2
         155.0      25.2
         155.5       5.4
         160.0       4.4
         161.0       2.3
         162.5       3.2
         163.0       1.8
         170.0       1.3
         174.0       5.3
         175.0      92.9
         176.0      11.3
         177.0       2.3
         189.0       2.9
         190.0       5.6
         191.0       1.0
         215.0       8.6
         216.0       1.4
         325.0      23.3
         326.0       5.2
         340.0      19.2
         341.0       4.5
    

400 MHz in DMSO-d6


  • 1H NMR 399.65 MHz
    C21 H24 O4 0.031 g : 0.5 ml DMSO-d6
    4,4,4',4'-tetramethyl-2,2'-spirobicromane-7,7'-diol
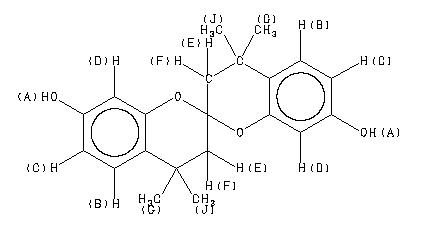
    ChemicalStructure
        Assign.     Shift(ppm)
    A 9.14 B 7.149 C 6.373 D 5.968 E *1 2.042 F *1 1.907 G *2 1.474 J *2 1.255

         Hz     ppm     Int.
    

       3655.24   9.147    754
       2861.63   7.161    313
       2853.24   7.140    337
       2552.80   6.388    197
       2550.20   6.382    204
       2544.25   6.367    193
       2541.81   6.361    202
       2386.32   5.972    419
       2383.88   5.965    413
        824.43   2.063    162
        810.39   2.028    237
        768.28   1.923    213
        754.24   1.888    151
        589.29   1.475   1000
        576.32   1.443     22
        501.56   1.255    902
    

in DMSO-d6



KBr disc



nujol mull