图谱信息 供应商 相关产品
网站主页CAS数据库列表 3148-72-9更多图谱1,3-二氨-2-羟丙烷-N,N,N',N'-四乙酸(3148-72-9)质谱(MS)

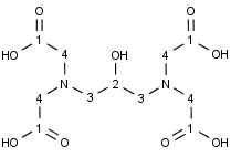
1,3-二氨-2-羟丙烷-N,N,N',N'-四乙酸

产品名称 1,3-二氨-2-羟丙烷-N,N,N',N'-四乙酸

CAS号3148-72-9

分子式C11H18N2O9

分子量322.27

展开







  •        ppm   Int.  Assign.
    172.62 1000 1 67.25 165 2 58.33 209 3 55.50 480 4
    Spectral Code: 13C NMR : in DMSO-d6