图谱信息 供应商 相关产品
网站主页CAS数据库列表 31519-22-9更多图谱1,4-二羟基-2-萘甲酸(31519-22-9)核磁图(1HNMR)

1,4-二羟基-2-萘甲酸

产品名称 1,4-二羟基-2-萘甲酸

CAS号31519-22-9

分子式C11H8O4

分子量204.18

展开


  • Mass

    MS-IW-6662          
    1,4-dihydroxy-2-naphthoic acid
    C11H8O4             (Mass of molecular ion:    204)
    

       Source Temperature: 160 °C
       Sample Temperature: 160 °C
       Direct, 75 eV
    

          17.0       1.6
          18.0       9.2
          27.0       1.0
          28.0       3.6
          38.0       1.6
          39.0       1.3
          44.0      24.9
          50.0       5.8
          51.0      10.6
          51.5       1.0
          52.0       4.9
          53.0       2.9
          55.0       1.0
          62.0       1.0
          63.0       2.0
          65.0       1.7
          65.5       1.9
          66.0      21.0
          66.5       1.9
          74.0       3.4
          75.0       5.3
          76.0      13.4
          77.0      10.4
          78.0       1.7
          79.0       1.7
          80.0       2.5
          93.0       4.1
         101.0       5.7
         102.0      33.5
         103.0       8.6
         104.0      18.1
         105.0      12.0
         106.0       1.0
         115.0       1.3
         129.0       3.5
         130.0      42.5
         131.0      21.5
         132.0       9.0
         133.0       1.2
         157.0       4.1
         158.0      31.1
         159.0       7.8
         160.0      60.4
         161.0       6.7
         185.0       3.4
         186.0     100.0
         187.0      12.7
         188.0       1.5
         204.0      51.1
         205.0       6.3
    

400 MHz in DMSO-d6


  • 1H NMR 399.65 MHz
    C11 H8 O4 0.036 g : 0.5 ml DMSO-d6
    1,4-dihydroxy-2-naphthoic acid
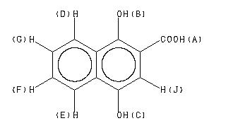
    ChemicalStructure
        Assign.     Shift(ppm)
    A 13. B 12.1 C 9.82 D 8.285 E 8.161 F 7.687 G 7.615 J 7.161

         Hz     ppm     Int.
    

       3924.32   9.820     48
       3315.43   8.296    241
       3307.37   8.276    258
       3266.11   8.173    241
       3258.06   8.153    269
       3081.05   7.710    124
       3079.83   7.707    133
       3074.22   7.693    204
       3072.75   7.689    263
       3071.53   7.686    136
       3065.92   7.672    189
       3064.45   7.668    176
       3051.03   7.635    175
       3049.56   7.631    189
       3043.95   7.617    138
       3042.72   7.614    254
       3041.26   7.610    185
       3035.64   7.596    117
       3034.42   7.593    114
       2862.30   7.163   1000
    

in DMSO-d6



KBr disc



nujol mull