-
MS2007-03489WA 5-azacytidine C8H12N4O5 (Mass of molecular ion: 244)
Source Temperature: 250 °C Sample Temperature: 220 °C Direct, 70 eV
15.0 2.5 18.0 1.7 19.0 2.1 26.0 1.4 27.0 6.2 28.0 21.5 29.0 18.9 30.0 2.0 31.0 14.3 39.0 4.0 40.0 2.1 41.0 8.3 42.0 32.4 43.0 44.8 44.0 14.1 45.0 9.9 46.0 1.6 47.0 1.9 53.0 4.6 54.0 2.0 55.0 8.9 56.0 6.0 57.0 22.6 58.0 2.9 59.0 1.6 60.0 10.1 61.0 4.0 67.0 1.3 68.0 10.7 69.0 26.6 70.0 22.3 71.0 18.9 72.0 3.1 73.0 18.3 74.0 3.1 82.0 1.3 84.0 4.7 85.0 11.3 86.0 25.9 87.0 2.0 95.0 1.4 96.0 2.0 97.0 8.0 98.0 3.1 99.0 1.3 101.0 1.0 110.0 1.3 111.0 4.8 112.0 100.0 113.0 91.6 114.0 6.0 115.0 2.2 124.0 1.3 125.0 1.5 126.0 1.9 127.0 1.1 132.0 1.2 133.0 1.6 138.0 1.4 139.0 1.6 140.0 2.3 141.0 41.5 142.0 3.4 143.0 2.8 144.0 1.3 152.0 16.5 153.0 1.9 155.0 10.2 156.0 1.2 171.0 13.6 172.0 1.3 178.0 1.3 179.0 2.9 196.0 1.8 214.0 1.4
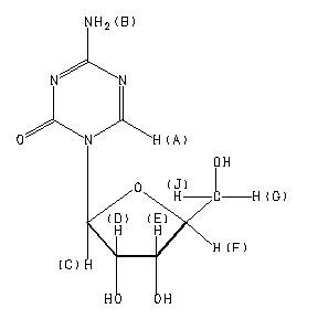
400 MHz in DMSO-d6
-
1H NMR 399.65 MHz C8 H12 N4 O5 0.028 g : 0.5 ml DMSO-d6 5-azacytidine 
Assign. Shift(ppm)
A 8.590 B 7.53 C 5.673 D 4.087 E 4.018 F 3.860 G *1 3.697 J *1 3.563
Hz ppm Int.3433.38 8.591 1000 3014.98 7.545 237 3007.66 7.526 281 2269.44 5.679 460 2265.63 5.670 469 1638.34 4.100 176 1633.61 4.088 292 1629.64 4.078 234 1611.02 4.032 216 1605.38 4.017 312 1600.34 4.005 185 1545.56 3.868 250 1542.66 3.861 207 1539.76 3.853 218 1486.36 3.720 155 1483.31 3.712 156 1474.15 3.689 234 1471.25 3.682 214 1431.12 3.581 225 1428.07 3.574 237 1418.91 3.551 185 1415.86 3.543 176
更多供应商






