
2-甲基-5-硝基苯并噁唑
产品名称
2-甲基-5-硝基苯并噁唑
CAS号32046-51-8
分子式C8H6N2O3
分子量178.14
InChIInChI=1S/C8H6N2O3/c1-5-9-7-4-6(10(11)12)2-3-8(7)13-5/h2-4H,1H3
InChIKeyUCZSXRHVXKAGFU-UHFFFAOYSA-N
SmilesO1C2=CC=C([N+]([O-])=O)C=C2N=C1C
展开
收起
-
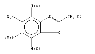
Parameter ppm Hz
D(A) 8.51
D(B) 8.27
D(C) 7.91
J(A,B) 2.30
J(A,C) 0.43
J(B,C) 8.92
D(D) 2.62
KATRITZKY,A.R. & TAKEUCHI,Y. ORG.MAGN.RESON. 2, 569 (1970)
Spectral Code: 1H NMR : parameter in DMSO-d6
2-甲基-5-硝基苯并噁唑(32046-51-8)核磁图(1HNMR) 相关产品图谱