-
MS-NW-8834 5-methoxy-m-cresol C8H10O2 (Mass of molecular ion: 138)
Source Temperature: 270 °C Sample Temperature: 150 °C Reservoir, 75 eV
27.0 2.9 28.0 1.1 38.0 1.4 39.0 7.3 40.0 1.9 41.0 5.8 43.0 5.0 50.0 1.7 51.0 4.7 52.0 2.3 53.0 4.3 55.0 6.2 63.0 1.9 65.0 4.4 66.0 4.4 67.0 8.5 69.0 7.5 77.0 10.2 78.0 2.5 79.0 9.0 80.0 4.8 81.0 3.1 90.0 4.5 91.0 4.6 92.0 1.2 93.0 1.0 94.0 3.2 95.0 9.5 105.0 1.0 107.0 29.6 108.0 16.0 109.0 31.1 110.0 2.6 121.0 1.3 123.0 4.7 137.0 7.8 138.0 100.0 139.0 9.3 152.0 2.1
400 MHz in CDCl3
-
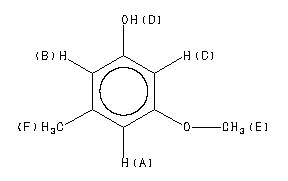
1H NMR 399.65 MHz C8 H10 O2 0.029 g : 0.5 ml CDCl3 5-methoxy-m-cresol 
Assign. Shift(ppm)
A 6.324 B 6.260 C 6.231 D 5.31 E 3.747 F 2.255
Hz ppm Int.2527.47 6.325 115 2526.61 6.323 108 2503.42 6.265 83 2501.83 6.261 125 2501.22 6.259 121 2500.49 6.257 107 2492.43 6.237 93 2490.23 6.232 142 2488.04 6.226 68 2123.29 5.313 267 1497.44 3.747 1000 901.37 2.256 672
更多供应商





