图谱信息 供应商 相关产品
网站主页CAS数据库列表 3237-62-5更多图谱1-乙基-2-甲基-5,6-二氯苯并咪唑(3237-62-5)红外图谱(IR2)

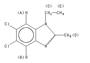
1-乙基-2-甲基-5,6-二氯苯并咪唑

产品名称 1-乙基-2-甲基-5,6-二氯苯并咪唑

CAS号3237-62-5

分子式C10H10Cl2N2

分子量229.11

展开


  • Mass

    MS-IW-9742          
    5,6-dichloro-1-ethyl-2-methylbenzimidazole
    C10H10Cl2N2         (Mass of molecular ion:    228)
    

       Source Temperature: 160 °C
       Sample Temperature: 110 °C
       Direct, 75 eV
    

          27.0       4.5
          28.0       3.0
          29.0       4.5
          41.0       1.8
          42.0       3.0
          50.0       1.1
          51.0       1.1
          52.0       1.4
          61.0       1.8
          62.0       2.5
          63.0       1.2
          72.0       1.3
          73.0       2.1
          74.0       3.1
          75.0       3.5
          76.0       2.0
          84.0       1.1
          85.0       1.0
          86.0       1.2
          87.0       1.6
          88.0       5.5
          89.0       2.8
          92.5       2.6
          93.5       1.8
          96.0       1.1
          97.0       5.9
          98.0       1.8
          99.0       2.8
         100.0       2.7
         101.0       1.0
         102.0       1.6
         106.0       8.6
         106.5       3.2
         107.0       6.8
         107.5       1.9
         108.0       1.8
         109.0       6.0
         110.0       1.9
         111.0       2.5
         112.0       1.0
         113.0       1.3
         114.0      10.0
         114.5       1.2
         115.0       6.1
         116.0       2.2
         117.0       1.0
         123.0       1.7
         124.0       3.2
         125.0       1.6
         126.0       1.2
         133.0       1.7
         134.0       1.0
         135.0       1.3
         136.0       1.8
         137.0       2.2
         138.0       1.4
         143.0       1.2
         144.0       1.2
         145.0       3.8
         146.0       1.4
         147.0       2.5
         150.0       1.3
         151.0       3.4
         152.0       1.7
         153.0       1.4
         158.0       3.4
         159.0       1.4
         160.0       5.7
         161.0       1.2
         162.0       2.8
         164.0       1.2
         165.0       2.9
         172.0       1.8
         174.0       1.1
         177.0       2.4
         178.0      11.9
         179.0       2.2
         180.0       3.9
         186.0       1.8
         187.0       1.7
         188.0       1.2
         189.0       1.0
         193.0       2.0
         199.0       7.1
         200.0       4.3
         201.0       5.0
         202.0       2.8
         203.0       1.1
         213.0      93.4
         214.0      10.3
         215.0      60.1
         216.0       6.5
         217.0      10.1
         218.0       1.0
         227.0       4.0
         228.0     100.0
         229.0      14.3
         230.0      64.1
         231.0       8.1
         232.0      10.6
         233.0       1.2
    

400 MHz in CDCl3


  • 1H NMR 399.65 MHz
    C10 H10 Cl2 N2 0.040 g : 0.5 ml CDCl3
    5,6-dichloro-1-ethyl-2-methylbenzimidazole
    ChemicalStructure
        Assign.     Shift(ppm)
    A 7.722 B 7.346 C 4.085 D 2.578 E 1.383

         Hz     ppm     Int.
    

       3086.18   7.723    336
       2936.04   7.347    330
       1643.68   4.113     71
       1636.35   4.095    222
       1629.03   4.077    223
       1621.70   4.058     71
       1033.45   2.586     39
       1030.27   2.578   1000
        560.06   1.402    237
        552.86   1.384    486
        545.53   1.366    230
    

in CDCl3



KBr disc



nujol mull