图谱信息 供应商 相关产品
网站主页CAS数据库列表 3248-05-3更多图谱4,7-二甲基-1,10-菲咯啉(3248-05-3)核磁图(1HNMR)

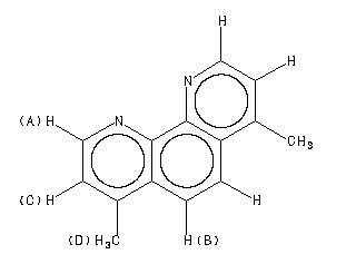
4,7-二甲基-1,10-菲咯啉

产品名称 4,7-二甲基-1,10-菲咯啉

CAS号3248-05-3

分子式C14H12N2

分子量208.26

展开

90 MHz in CDCl3


  • 1H NMR 89.56 MHz
    C14 H12 N2 0.040 g : 0.5 ml CDCl3
    4,7-dimethyl-1,10-phenanthroline
    ChemicalStructure
        Assign.     Shift(ppm)
    A 9.004 B 7.905 C 7.385 D 2.710 J(A,C)=4.5HZ.

         Hz     ppm     Int.
    

        808.75   9.031    233
        804.25   8.981    247
        708.00   7.906    586
        664.13   7.416    141
        663.31   7.407    153
        659.63   7.366    140
        658.88   7.357    147
        656.44   7.330     27
        243.06   2.714    914
        242.31   2.706   1000
    

KBr disc



nujol mull