图谱信息 供应商 相关产品
网站主页CAS数据库列表 3248-91-7更多图谱碱性紫 2(3248-91-7)红外图谱(IR2)

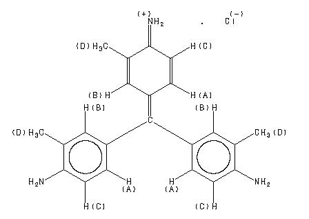
碱性紫 2

产品名称 碱性紫 2

CAS号3248-91-7

分子式C22H24ClN3

分子量365.91

展开

parameter in DMSO-d6


  • 1H NMR 300 MHz
    C22 H24 Cl N3 0.049 g : 0.5 ml DMSO-d6
    new fuchsin
    ChemicalStructure
        Parameter     ppm  Hz
    D(A) 7.012 D(B) 6.979 D(C) 6.854 J(A,B) 2.0 J(A,C) 8.5 J(B,C) 0. D(D) 2.101

         Hz     ppm     Int.
    

       2109.27   7.031     65
       2107.36   7.025     84
       2100.89   7.003     79
       2098.93   6.996    134
       2094.61   6.982    212
       2092.65   6.975    141
       2060.05   6.867    192
       2051.67   6.839    137
        630.29   2.101   1000
    

in DMSO-d6



KBr disc



nujol mull