图谱信息 供应商 相关产品
网站主页CAS数据库列表 3254-89-5更多图谱盐酸地芬尼多(3254-89-5)红外图谱(IR1)

盐酸地芬尼多

产品名称 盐酸地芬尼多

CAS号3254-89-5

分子式C21H27NO

分子量309.45

展开


  • Mass

    MS-IW-3663          
    1,1-diphenyl-4-piperidino-1-butanol hydrochloride
    C21H27NO HCl        (Mass of molecular ion:    309)
    

       Source Temperature: 160 °C
       Sample Temperature: 140 °C
       Direct, 75 eV
    

          18.0       1.8
          36.0       3.2
          38.0       1.1
          41.0       3.5
          42.0       2.8
          44.0       1.7
          55.0       3.4
          56.0       1.0
          69.0       1.7
          70.0       1.8
          77.0       4.1
          84.0       3.3
          85.0       1.1
          91.0       2.3
          96.0       5.5
          97.0       1.0
          98.0     100.0
          99.0       7.7
         105.0       5.1
         111.0       2.4
         115.0       1.1
         127.0       7.0
         129.0       1.4
         147.0       1.7
         232.0       2.2
         309.0       2.4
    

400 MHz in DMSO-d6


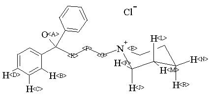
  • 1H NMR 399.65 MHz
    C21 H27 N O 0.034 g : 0.5 ml DMSO-d6
    1,1-diphenyl-4-piperidino-1-butanol hydrochloride
    ChemicalStructure
        Assign.     Shift(ppm)
    A 10.4 B 7.463 C 7.278 D 7.167 E 5.73 F 3.235 G 2.971 J 2.737 K 2.326 L 1.797 M 1.70 N 1.65 P 1.62 R 1.330 ASSIGNED BY CH-COSY

         Hz     ppm     Int.
    

       4172.97  10.442     58
       2988.28   7.478    624
       2987.06   7.475    855
       2979.89   7.457    967
       2978.82   7.454    949
       2916.56   7.298    551
       2909.09   7.280   1000
       2901.15   7.260    637
       2871.40   7.185    201
       2870.33   7.183    379
       2869.11   7.180    269
       2864.69   7.168    181
       2863.01   7.164    537
       2856.90   7.149    126
       2855.68   7.146    216
       2854.61   7.143    143
       2290.04   5.731    475
       1299.44   3.252    160
       1287.69   3.223    181
       1197.66   2.997     91
       1190.19   2.979    168
       1185.15   2.966    172
       1177.37   2.947     95
       1109.01   2.775     62
       1099.24   2.751    148
       1087.34   2.721    144
       1077.73   2.697     55
        937.81   2.347    170
        930.18   2.328    204
        922.24   2.308    191
        740.66   1.854     36
        737.46   1.846     32
        737.15   1.845     32
        726.78   1.819    108
        714.26   1.788    141
        705.57   1.766     62
        705.26   1.765     62
        702.06   1.757     65
        680.85   1.704    200
        664.22   1.663    197
        650.48   1.628    207
        646.51   1.618    237
        630.95   1.579     47
        535.43   1.340     72
        526.12   1.317     47
        522.92   1.309     63
        519.71   1.301     41
    

in DMSO-d6



KBr disc



nujol mull