图谱信息 供应商 相关产品
网站主页CAS数据库列表 3257-18-9更多图谱N-苄氧羰基-S-苄基-L-半胱氨酸(3257-18-9)红外图谱(IR2)

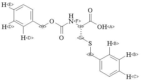
N-苄氧羰基-S-苄基-L-半胱氨酸

产品名称 N-苄氧羰基-S-苄基-L-半胱氨酸

CAS号3257-18-9

分子式C18H19NO4S

分子量345.41

展开


  • Mass

    MS-NW-6179          
    S-benzyl-N-benzyloxycarbonyl-L-cysteine
    C18H19NO4S          (Mass of molecular ion:    345)
    

       Source Temperature: 210 °C
       Sample Temperature: 150 °C
       Direct, 75 eV
    

          18.0       2.1
          27.0       2.4
          28.0       2.5
          38.0       1.2
          39.0       6.1
          41.0       2.2
          43.0       2.2
          44.0       2.0
          45.0       4.8
          50.0       3.0
          51.0       6.4
          52.0       1.8
          53.0       1.1
          62.0       1.2
          63.0       3.6
          64.0       1.0
          65.0      11.3
          74.0       1.1
          77.0      10.3
          78.0       2.8
          79.0      17.9
          80.0       2.0
          89.0       3.2
          90.0       2.5
          91.0     100.0
          92.0       8.7
         107.0      11.4
         108.0      15.8
         109.0       1.3
         121.0       1.8
         122.0       1.5
         123.0       4.1
         124.0       2.5
         137.0      15.4
         138.0       1.6
         210.0       1.2
         237.0      11.0
         238.0       1.6
         254.0       1.0
    

400 MHz in CDCl3


  • 1H NMR 399.65 MHz
    C18 H19 N O4 S 0.038 g : 0.5 ml CDCl3
    S-benzyl-N-benzyloxycarbonyl-L-cysteine
    ChemicalStructure
        Assign.     Shift(ppm)
    A 10.1 B 7.34 C 7.32 D 7.26 E 7.22 F 5.59 G 5.11 J 4.60 K 3.694 L 2.88

         Hz     ppm     Int.
    

       4037.17  10.102     37
       2938.54   7.353    473
       2934.42   7.343    924
       2927.25   7.325    300
       2924.04   7.317    300
       2919.01   7.304    185
       2915.95   7.297    172
       2906.80   7.274    318
       2900.85   7.259   1000
       2889.71   7.231    188
       2888.18   7.227    175
       2883.91   7.217    141
       2881.32   7.210    150
       2877.96   7.202     83
       2875.37   7.195     64
       2237.09   5.598    116
       2229.31   5.579    122
       2057.50   5.149     84
       2045.29   5.118    787
       2041.93   5.110    479
       2029.57   5.079     63
       1846.16   4.620     44
       1844.33   4.615     37
       1840.67   4.606     89
       1838.38   4.600     75
       1833.04   4.587     88
       1827.70   4.574     47
       1476.59   3.695    564
       1466.83   3.671     54
       1465.91   3.668     55
       1465.45   3.667     55
       1465.00   3.666     55
       1463.93   3.664     56
       1460.27   3.654     63
       1459.81   3.653     62
       1160.43   2.904    122
       1155.70   2.892    136
       1152.04   2.883    135
       1146.09   2.868    125
    

in CDCl3



KBr disc



nujol mull