图谱信息 供应商 相关产品
网站主页CAS数据库列表 32723-67-4更多图谱4-甲氧基-3-甲基苯甲醛(32723-67-4)红外图谱(IR1)

4-甲氧基-3-甲基苯甲醛

产品名称 4-甲氧基-3-甲基苯甲醛

CAS号32723-67-4

分子式C9H10O2

分子量150.17

展开


  • Mass

    MS-NW-5617          
    4-methoxy-3-methylbenzaldehyde
    C9H10O2             (Mass of molecular ion:    150)
    

       Source Temperature: 260 °C
       Sample Temperature: 190 °C
       Reservoir, 75 eV
    

          15.0       1.1
          27.0       2.3
          28.0       1.1
          29.0       1.6
          38.0       1.7
          39.0       5.9
          41.0       1.0
          50.0       3.8
          51.0       8.4
          52.0       4.4
          53.0       2.5
          62.0       1.7
          63.0       4.5
          64.0       1.1
          65.0       5.5
          74.0       1.4
          75.0       1.0
          77.0      15.0
          78.0       7.3
          79.0       3.7
          89.0       2.8
          90.0       1.7
          91.0      28.2
          92.0       2.7
          93.0       1.2
         105.0       2.5
         106.0       5.9
         107.0       3.6
         119.0       1.3
         121.0       7.4
         122.0       1.8
         135.0       2.4
         149.0     100.0
         150.0      78.9
         151.0       8.0
    

90 MHz in CDCl3


  • 1H NMR 89.56 MHz
    C9 H10 O2 0.04 ml : 0.5 ml CDCl3
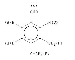
    4-methoxy-3-methylbenzaldehyde
    ChemicalStructure
        Assign.     Shift(ppm)
    A 9.849 B 7.71 C 7.67 D 6.920 E 3.908 F 2.254

         Hz     ppm     Int.
    

        882.13   9.850    324
        695.80   7.770     28
        695.29   7.764     28
        693.60   7.745     53
        693.16   7.740     53
        688.40   7.687     52
        687.52   7.677     86
        686.65   7.667    180
        686.06   7.661    197
        623.88   6.967     76
        622.12   6.947     24
        616.85   6.888     23
        614.79   6.865     61
        350.02   3.909   1000
        201.86   2.254    529
    

in CDCl3



liquid film



4880 A,200 M,liquid