图谱信息 供应商 相关产品
网站主页CAS数据库列表 32854-09-4更多图谱L-胱氨酸二甲酯二盐酸盐(32854-09-4)红外图谱(IR1)

L-胱氨酸二甲酯二盐酸盐

产品名称 L-胱氨酸二甲酯二盐酸盐

CAS号32854-09-4

分子式C8H18Cl2N2O4S2

分子量341.28

展开


  • Mass

    MS-NW-7872          
    L-(-)-cystine dimethyl ester dihydrochloride
    C8H16N2O4S2 2HCl    (Mass of molecular ion:    268)
    

       Source Temperature: 210 °C
       Sample Temperature: 150 °C
       Direct, 75 eV
    

          15.0      20.8
          16.0       3.5
          17.0       5.2
          18.0       9.6
          27.0       3.4
          28.0      21.1
          29.0       3.8
          30.0      17.2
          31.0       2.1
          32.0       1.8
          33.0      29.0
          34.0       1.6
          35.0      11.0
          36.0      84.9
          37.0       3.8
          38.0      27.5
          40.0       1.8
          41.0      10.0
          42.0      51.0
          43.0      38.3
          44.0      11.0
          45.0       5.6
          46.0       3.2
          47.0       5.1
          48.0       3.7
          53.0       1.0
          54.0       2.4
          55.0       5.6
          56.0       3.1
          57.0       3.4
          58.0       3.3
          59.0      30.3
          60.0       5.2
          61.0       1.5
          64.0      11.3
          66.0       1.1
          68.0       2.6
          70.0       7.8
          71.0       2.0
          73.0       1.4
          74.0      15.5
          75.0      14.8
          76.0      74.6
          77.0       3.2
          78.0       3.6
          79.0       1.3
          85.0       1.3
          86.0       3.6
          87.0       8.6
          88.0     100.0
          89.0       7.9
          90.0       1.0
          96.0       1.3
          98.0       3.5
         100.0      11.4
         101.0       8.8
         102.0      29.7
         103.0       4.9
         106.0       3.9
         107.0       4.0
         108.0       2.3
         112.0       1.4
         113.0       1.0
         114.0       1.7
         119.0       9.0
         120.0       1.1
         126.0       6.1
         128.0       1.5
         132.0       1.1
         133.0       1.4
         134.0       6.8
         135.0      30.9
         136.0      27.7
         137.0       3.2
         138.0       1.5
         144.0       1.0
         146.0       1.3
         158.0       3.1
         160.0      26.2
         161.0       2.3
         162.0       1.4
         167.0      28.5
         168.0       2.5
         169.0       2.8
         186.0       1.2
         192.0       1.8
         209.0       4.8
         217.0       1.1
         222.0       8.1
         251.0       1.8
         256.0       1.1
    

400 MHz in DMSO-d6


  • 1H NMR 399.65 MHz
    C8 H16 N2 O4 S2 0.038 g : 0.5 ml DMSO-d6
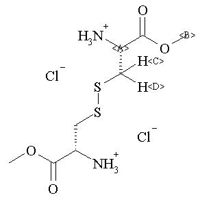
    L-(-)-cystine dimethyl ester dihydrochloride
    ChemicalStructure
        Assign.     Shift(ppm)
    A 4.305 B 3.771 C *1 3.417 D *1 3.354

         Hz     ppm     Int.
    

       1726.84   4.321     67
       1720.73   4.306    119
       1715.09   4.292     69
       1507.11   3.772   1000
       1378.33   3.449     42
       1372.83   3.436     45
       1363.83   3.413    101
       1358.34   3.399     96
       1348.11   3.374    102
       1341.71   3.358    103
       1333.62   3.337     48
       1327.21   3.321     43
    

in DMSO-d6



KBr disc



nujol mull