图谱信息 供应商 相关产品
网站主页CAS数据库列表 32953-14-3更多图谱N-乙基胡椒胺(32953-14-3)核磁图(1HNMR)

N-乙基胡椒胺

产品名称 N-乙基胡椒胺

CAS号32953-14-3

分子式C9H11NO2

分子量165.19

展开


  • Mass

    MS-NW-7516          
    N-ethyl-3,4-methylenedioxyaniline
    C9H11NO2            (Mass of molecular ion:    165)
    

       Source Temperature: 250 °C
       Sample Temperature: 170 °C
       Reservoir, 75 eV
    

          26.0       1.1
          27.0       4.4
          28.0       5.3
          29.0       2.8
          38.0       1.5
          39.0       3.9
          40.0       1.0
          41.0       1.3
          42.0       1.3
          50.0       2.6
          51.0       8.1
          52.0       7.2
          53.0       3.5
          54.0       1.5
          62.0       2.4
          63.0       4.7
          64.0       1.9
          65.0       8.3
          66.0       1.3
          67.0       1.1
          68.0       1.7
          73.5       1.1
          74.5      10.7
          75.0       4.7
          77.0       2.8
          78.0      13.2
          79.0       4.9
          80.0       4.6
          81.5       2.1
          82.5       1.1
          91.0       1.5
          92.0       6.1
          93.0       4.8
          94.0       1.1
         104.0       1.1
         106.0       6.1
         107.0       2.4
         108.0       1.3
         120.0       7.3
         121.0       4.1
         122.0       6.3
         134.0       1.8
         136.0       5.4
         137.0       1.3
         148.0       2.7
         149.0       2.1
         150.0     100.0
         151.0      10.5
         152.0       1.1
         163.0       1.4
         164.0       5.7
         165.0      66.3
         166.0       7.0
         178.0       2.5
         193.0       1.3
    

90 MHz in CDCl3


  • 1H NMR 89.56 MHz
    C9 H11 N O2 0.05 ml : 0.5 ml CDCl3
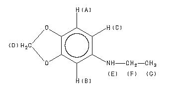
    N-ethyl-3,4-methylenedioxyaniline
    ChemicalStructure
        Assign.     Shift(ppm)
    A 6.614 B 6.210 C 6.008 D 5.792 E 3.15 F 3.060 G 1.190

         Hz     ppm     Int.
    

        597.31   6.670    140
        596.94   6.666    129
        589.06   6.578    187
        588.69   6.574    171
        557.13   6.221    132
        554.94   6.197    165
        542.75   6.061    123
        540.44   6.035     93
        534.50   5.969     90
        532.19   5.943     73
        518.75   5.793   1000
        284.19   3.174    110
        277.06   3.094    207
        269.94   3.015    209
        262.94   2.936     76
        113.38   1.266    239
        106.38   1.188    491
         99.19   1.108    199
         97.31   1.087     33
    

in CDCl3



liquid film