图谱信息 供应商 相关产品
网站主页CAS数据库列表 32986-56-4更多图谱妥布霉素(32986-56-4)红外图谱(IR2)

妥布霉素

产品名称 妥布霉素

CAS号32986-56-4

分子式C18H37N5O9

分子量467.52

展开


  • Mass

    MS2014-05044CW      
    tobramycin
    C18H37N5O9          (Mass of molecular ion:    467)
    

       Source Temperature: 250 °C
       Sample Temperature: 260 °C
       Direct, 70 eV
    

          15.0       5.9
          16.0      18.8
          17.0      24.4
          18.0      61.4
          19.0       3.3
          26.0       2.3
          27.0       8.5
          28.0      26.6
          29.0       9.7
          30.0      81.6
          31.0      12.1
          32.0       1.1
          37.0       1.0
          38.0       2.0
          39.0       9.9
          40.0       3.2
          41.0      21.4
          42.0      31.6
          43.0      44.2
          44.0      67.2
          45.0      15.8
          46.0       6.3
          50.0       2.0
          51.0       3.9
          52.0       5.8
          53.0       7.0
          54.0       8.3
          55.0       9.4
          56.0      40.4
          57.0      17.1
          58.0      21.9
          59.0      86.0
          60.0      49.6
          61.0       4.2
          63.0       1.8
          64.0       1.4
          65.0       5.9
          66.0       4.1
          67.0       7.2
          68.0      48.1
          69.0      20.1
          70.0      12.8
          71.0      80.9
          72.0      68.4
          73.0      14.0
          74.0      10.6
          75.0       1.8
          76.0       1.2
          77.0       2.0
          78.0       2.9
          79.0       5.5
          80.0      16.5
          81.0      10.1
          82.0      17.1
          83.0       8.8
          84.0      36.1
          85.0      20.6
          86.0      36.9
          87.0       6.2
          88.0      12.5
          89.0       1.9
          90.0       3.9
          91.0       3.6
          92.0       8.6
          93.0      10.7
          94.0       6.0
          95.0       4.0
          96.0       7.1
          97.0       7.0
          98.0      33.5
          99.0       7.6
         100.0       8.1
         101.0       6.7
         102.0      22.7
         103.0       3.8
         104.0       1.7
         105.0       1.2
         106.0       1.7
         107.0       4.3
         108.0       9.6
         109.0      24.0
         110.0      35.7
         111.0      11.0
         112.0       7.2
         113.0       3.2
         114.0       8.5
         115.0       2.7
         116.0       3.9
         117.0       1.7
         118.0      39.9
         119.0       4.1
         120.0      11.0
         121.0       3.6
         122.0       2.2
         123.0       2.0
         124.0       3.8
         125.0      16.8
         126.0      25.0
         127.0      16.9
         128.0      14.0
         129.0       6.7
         130.0      40.2
         131.0       4.5
         132.0       2.5
         133.0       2.9
         134.0       2.5
         135.0       2.5
         136.0       1.6
         137.0       1.5
         138.0       1.4
         139.0       1.5
         140.0       1.4
         141.0       1.2
         142.0       1.7
         143.0       9.4
         144.0      18.9
         145.0     100.0
         146.0      25.2
         147.0       3.8
         148.0       2.0
         149.0       1.6
         150.0       1.8
         151.0       2.2
         152.0       1.3
         153.0       1.1
         154.0       1.2
         155.0       1.9
         156.0       2.1
         157.0       1.6
         158.0       1.6
         159.0       1.6
         160.0       3.1
         161.0       3.7
         162.0      37.7
         163.0      40.0
         164.0       4.0
         165.0       1.1
         167.0       1.2
         168.0       1.3
         169.0       1.9
         170.0       1.4
         171.0       2.8
         172.0       2.3
         173.0      12.6
         174.0       2.6
         175.0       3.0
         176.0       1.3
         178.0       1.7
         179.0       1.0
         180.0       5.8
         181.0       1.3
         182.0       1.0
         183.0       1.3
         184.0       1.4
         185.0       2.3
         186.0       2.3
         187.0       4.8
         188.0       2.2
         189.0       1.9
         190.0       1.5
         191.0      35.0
         192.0       3.7
         193.0       1.2
         197.0       1.0
         198.0       1.0
         199.0       1.5
         200.0       1.6
         201.0       2.8
         202.0       2.5
         203.0      34.9
         204.0      24.4
         205.0       9.9
         206.0       1.6
         214.0       1.5
         215.0       1.6
         216.0       1.7
         217.0       2.3
         218.0       1.4
         219.0       3.2
         220.0       1.5
         221.0       1.8
         222.0       5.1
         223.0       1.1
         228.0       2.1
         229.0       1.2
         231.0       1.2
         232.0       7.5
         233.0       3.2
         234.0       1.3
         235.0       3.4
         236.0       1.3
         252.0       2.9
         253.0       1.2
         269.0       3.1
         270.0       1.3
         271.0       1.3
         274.0       3.0
         288.0       1.3
         289.0       1.4
         291.0       1.1
         306.0      10.0
         307.0       1.9
         324.0       4.1
         334.0       1.0
         352.0       1.7
    

400 MHz in DMSO-d6


  • 1H NMR 399.65 MHz
    C18 H37 N5 O9 0.039 g : 0.5 ml DMSO-d6
    tobramycin
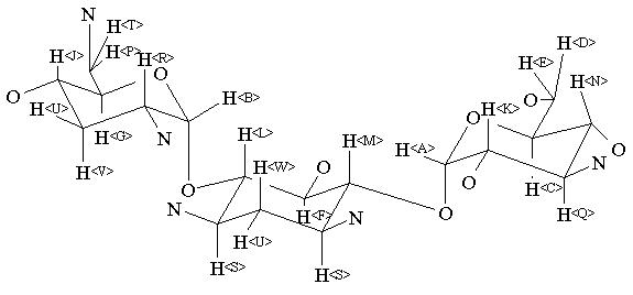
    ChemicalStructure
        Assign.     Shift(ppm)
    A 4.878 B 4.809 C 3.748 D *1 3.577 E *1 3.42 F 3.39 G 3.38 J 3.208 K 3.118 L *2 3.00 M *2 2.99 N 2.97 P *3 2.81 Q 2.78 R 2.74 S 2.63 to 2.57 T *3 2.56 U 1.79 V 1.426 W 1.024 J(A,K)=3.8HZ J(B,R)=3.5HZ J(C,D)=2.1HZ J(C,E)=5.7HZ J(C,N)=9.9HZ J(D,E)=11.4HZ J(J,U)=4.4HZ J(K,Q)=9.9HZ J(P,T)=13.2HZ J(P,G)=3.3HZ J(Q,N)=9.7HZ J(T,G)=6.8HZ ASSIGNED BY H-H COSY.

         Hz     ppm     Int.
    

       1920.17   4.805    719
       1506.47   3.770    255
       1504.52   3.765    278
       1501.10   3.757    317
       1499.02   3.751    306
       1496.83   3.746    309
       1494.63   3.740    314
       1491.33   3.732    309
       1489.14   3.727    281
       1436.89   3.596    384
       1434.81   3.591    422
       1425.54   3.567    572
       1423.71   3.563    492
       1375.61   3.443    457
       1370.00   3.429    485
       1363.89   3.413    746
       1358.52   3.400    606
       1354.61   3.390   1000
       1348.75   3.375    445
       1345.46   3.367    723
       1342.04   3.359    337
       1294.80   3.240    292
       1290.41   3.229    299
       1283.94   3.213    393
       1280.52   3.205    364
       1279.54   3.202    365
       1274.41   3.189    277
       1269.78   3.178    264
       1253.05   3.136    526
       1249.51   3.127    492
       1243.16   3.111    569
       1239.50   3.102    575
       1208.86   3.025    456
       1201.54   3.007    625
       1199.46   3.002    880
       1196.66   2.995    672
       1192.75   2.985    863
       1190.06   2.978    679
       1187.13   2.971    913
       1183.84   2.963    553
       1177.37   2.947    553
       1131.23   2.831    415
       1127.93   2.823    466
       1118.04   2.798    970
       1115.23   2.791    565
       1108.28   2.774    815
       1102.17   2.758    371
       1098.63   2.749    713
       1094.36   2.739    350
       1092.04   2.733    264
       1089.72   2.727    349
       1085.82   2.717    439
       1081.79   2.707    321
       1062.26   2.658    292
       1058.59   2.649    302
       1050.29   2.629    419
       1049.93   2.628    418
       1049.44   2.626    415
       1046.51   2.619    410
       1044.80   2.615    406
       1040.65   2.604    466
       1032.96   2.585    731
       1028.56   2.574    459
       1028.32   2.574    459
       1026.12   2.568    594
       1020.02   2.553    566
       1013.18   2.536    427
       1007.20   2.521    189
       1006.10   2.518    183
       1003.17   2.511    171
       1002.56   2.509    169
       1001.71   2.507    168
       1001.22   2.506    168
       1000.98   2.505    168
        999.88   2.502    164
        733.76   1.837     70
        733.03   1.835     73
        726.56   1.818    207
        726.20   1.818    206
        722.05   1.807    422
        717.29   1.795    510
        713.13   1.785    400
        710.57   1.778    441
        708.74   1.774    406
        704.71   1.764    398
        695.56   1.741     75
        587.28   1.470    163
        575.56   1.441    370
        563.72   1.411    347
        552.00   1.382    137
        427.49   1.070    137
        415.28   1.040    330
        408.08   1.022     71
        402.95   1.009    323
        390.50   0.978    120
    

in CDCl3



KBr disc



nujol mull