图谱信息 供应商 相关产品
网站主页CAS数据库列表 3300-51-4更多图谱4-(三氟甲基)苄胺(3300-51-4)核磁图(1HNMR)

4-(三氟甲基)苄胺

产品名称 4-(三氟甲基)苄胺

CAS号3300-51-4

分子式C8H8F3N

分子量175.15

展开


  • Mass

    MS-IW-6468          
    p-(trifluoromethyl)benzylamine
    C8H8F3N             (Mass of molecular ion:    175)
    

       Source Temperature: 220 °C
       Sample Temperature: 150 °C
       Reservoir, 75 eV
    

          28.0      31.2
          29.0      17.6
          30.0      53.0
          31.0       1.0
          38.0       1.1
          39.0       2.3
          50.0       4.6
          51.0       5.2
          52.0       1.6
          52.5       1.0
          57.0       1.6
          62.0       2.2
          63.0       2.7
          69.0       2.4
          74.0       2.1
          75.0       5.6
          76.0       2.1
          77.0       6.9
          77.5       3.1
          78.0       2.8
          79.0       5.0
          83.0       1.1
          89.0       2.1
          95.0       3.8
          96.0       2.2
          99.0       1.4
         104.0       3.2
         105.0       1.4
         106.0      44.0
         107.0       5.1
         108.0       1.1
         109.0       7.0
         119.0       2.6
         125.0       2.8
         126.0       1.8
         127.0      32.1
         128.0       3.0
         134.0       1.1
         136.0       1.4
         138.0       1.0
         139.0       1.0
         140.0       1.3
         145.0       8.6
         146.0       2.4
         154.0       3.5
         155.0       1.8
         156.0      10.8
         157.0       1.4
         158.0       1.3
         159.0      10.2
         160.0       1.0
         172.0       6.0
         173.0       1.4
         174.0     100.0
         175.0      64.1
         176.0       6.2
    

90 MHz in CDCl3


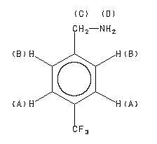
  • 1H NMR 89.56 MHz
    C8 H8 F3 N 0.05 ml : 0.5 ml CDCl3
    p-(trifluoromethyl)benzylamine
    ChemicalStructure
        Assign.     Shift(ppm)
    A 7.56 B 7.42 C 3.909 D 1.66

         Hz     ppm     Int.
    

        682.81   7.625    181
        679.31   7.585     66
        674.56   7.532    534
        671.00   7.493    112
        667.06   7.449    469
        658.81   7.357    168
        658.25   7.350    151
        655.25   7.317     32
        654.94   7.313     30
        654.06   7.304     24
        350.38   3.913    675
        343.81   3.839     28
        148.88   1.663   1000
    

in CDCl3



liquid film