-
MS-NW-5797 sec-butyl benzoate C11H14O2 (Mass of molecular ion: 178)
Source Temperature: 260 °C Sample Temperature: 190 °C Reservoir, 75 eV
27.0 4.3 28.0 1.0 29.0 8.9 39.0 3.1 41.0 9.5 43.0 1.0 50.0 3.5 51.0 11.2 55.0 2.0 56.0 19.6 57.0 6.0 73.0 8.4 76.0 1.7 77.0 31.2 78.0 2.7 79.0 3.6 105.0 100.0 106.0 8.2 122.0 3.2 123.0 46.3 124.0 3.6 149.0 2.4
90 MHz in CDCl3
-
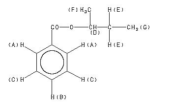
1H NMR 89.56 MHz C11 H14 O2 0.04 ml : 0.5 ml CDCl3 sec-butyl benzoate 
Assign. Shift(ppm)
A 8.04 B 7.51 C 7.42 D 5.099 E 1.87 to 1.54 F 1.334 G 0.980
Hz ppm Int.725.81 8.105 195 724.19 8.087 203 722.50 8.068 100 721.63 8.058 75 720.31 8.043 69 718.75 8.026 163 718.31 8.021 146 717.38 8.011 72 716.00 7.995 245 714.75 7.981 48 676.88 7.558 63 675.69 7.545 82 672.88 7.514 98 672.13 7.505 142 670.19 7.484 399 669.38 7.475 154 668.31 7.463 147 667.81 7.457 121 666.69 7.445 86 664.56 7.421 93 663.69 7.411 123 663.00 7.403 167 662.50 7.398 164 660.94 7.380 30 658.94 7.358 34 657.38 7.341 69 654.06 7.304 37 466.31 5.207 56 460.13 5.138 109 453.88 5.068 111 447.69 4.999 61 162.69 1.817 34 161.06 1.799 72 159.81 1.785 43 158.81 1.774 72 156.00 1.742 34 154.56 1.726 94 153.25 1.712 121 152.81 1.707 117 151.69 1.694 91 148.56 1.659 34 146.75 1.639 118 145.75 1.628 120 145.06 1.620 61 139.44 1.557 75 122.56 1.369 1000 120.44 1.345 32 116.31 1.299 953 94.13 1.052 261 87.00 0.972 467 79.44 0.888 147 78.44 0.876 83





