-
MS-IW-3832 1-phenyl-2,4-pentanedione C11H12O2 (Mass of molecular ion: 176)
Source Temperature: 220 °C Sample Temperature: 150 °C Reservoir, 75 eV
27.0 1.0 39.0 4.3 41.0 2.5 43.0 34.9 50.0 1.1 51.0 2.7 63.0 3.0 65.0 8.9 69.0 1.7 77.0 2.2 85.0 100.0 86.0 5.0 89.0 2.9 90.0 2.2 91.0 33.2 92.0 15.1 93.0 1.1 105.0 1.3 115.0 1.7 118.0 21.5 119.0 2.1 176.0 10.0 177.0 1.3
400 MHz in CDCl3
-
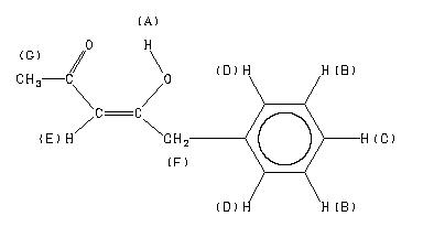
1H NMR 399.65 MHz C11 H12 O2 0.05 ml : 0.5 ml CDCl3 1-phenyl-2,4-pentanedione 
Assign. Shift(ppm)
A 15.41 B 7.306 C 7.26 D 7.22 E 5.423 F 3.559 G 1.978
Hz ppm Int.2930.46 7.333 47 2928.97 7.329 78 2927.47 7.326 39 2924.91 7.319 43 2924.05 7.317 58 2922.34 7.313 201 2920.63 7.308 130 2919.35 7.305 30 2917.86 7.302 44 2916.15 7.297 87 2914.86 7.294 212 2914.01 7.292 137 2912.73 7.289 49 2905.25 7.270 43 2903.75 7.266 94 2902.26 7.263 83 2896.49 7.248 111 2893.71 7.241 44 2891.36 7.235 173 2889.86 7.231 217 2887.51 7.226 65 2886.23 7.222 77 2884.74 7.219 72 2883.24 7.215 136 2882.81 7.214 124 2881.74 7.211 99 2167.40 5.424 417 1422.49 3.560 459 793.41 1.986 33 790.84 1.979 1000 787.64 1.971 48
更多供应商




