图谱信息 供应商 相关产品
网站主页CAS数据库列表 33430-62-5更多图谱胸苷酸二钠(33430-62-5)核磁图(1HNMR)

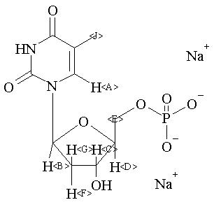
胸苷酸二钠

产品名称 胸苷酸二钠

CAS号33430-62-5

分子式C10H16N2NaO8P

分子量346.21

展开

400 MHz in D2O


  • 1H NMR 399.65 MHz
    C10 H13 N2 Na2 O8 P 0.038 g : 0.5 ml D2O
    thymidine 5'-monophosphate disodium salt
    ChemicalStructure
        Assign.     Shift(ppm)
    A 7.813 B 6.347 C 4.589 D 4.159 E 3.982 F *1 2.40 G *1 2.36 J 1.938 THE SOLVENT PEAK SUPPRESSED.

         Hz     ppm     Int.
    

       3123.17   7.815    279
       3121.95   7.812    295
       2543.95   6.366    105
       2537.35   6.349    163
       2530.03   6.331    107
       1841.19   4.608     57
       1837.89   4.599    117
       1834.84   4.592    124
       1832.03   4.585    116
       1828.74   4.576     65
       1666.99   4.172     49
       1663.70   4.163    128
       1660.16   4.155    137
       1657.10   4.147     61
       1595.95   3.994    199
       1591.19   3.982    302
       1587.04   3.972    167
        981.69   2.457     32
        975.46   2.441     36
        974.24   2.438     39
        967.65   2.422    106
        961.30   2.406     98
        960.08   2.403    112
        952.88   2.385    126
        949.22   2.376     97
        946.29   2.368     99
        942.75   2.359     97
        938.72   2.349     41
        935.06   2.340     36
        932.25   2.333     35
        928.71   2.324     30
        775.39   1.941    964
        774.29   1.938   1000
    

in D2O



KBr disc