图谱信息 供应商 相关产品
网站主页CAS数据库列表 3350-78-5更多图谱3-甲基巴豆酰氯(3350-78-5)红外图谱(IR1)

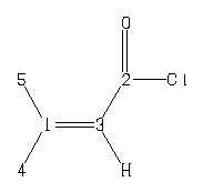
3-甲基巴豆酰氯

产品名称 3-甲基巴豆酰氯

CAS号3350-78-5

分子式C5H7ClO

分子量118.56

展开



  •     Assign.     Shift(ppm)
    A 6.055 B 2.154 C 1.983
    Spectral Code: 1H NMR : 90 MHz in CDCl3



  •        ppm   Int.  Assign.
    163.92 468 1 * 163.66 353 2 * 122.72 1000 3 27.36 936 4 21.64 695 5
    Spectral Code: 13C NMR : in CDCl3


  • Spectral Code: IR : liquid film