-
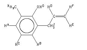
MS-NW-5749 2-allyl-6-methylphenol C10H12O (Mass of molecular ion: 148)
Source Temperature: 260 °C Sample Temperature: 190 °C Reservoir, 75 eV
27.0 5.7 38.0 1.3 39.0 10.4 40.0 1.3 41.0 5.6 43.0 2.8 50.0 3.2 51.0 8.7 52.0 3.2 53.0 4.6 55.0 3.4 57.5 1.0 62.0 1.6 63.0 4.6 64.0 3.2 65.0 6.8 66.0 1.6 72.0 1.5 73.0 2.5 74.0 1.0 75.0 1.1 76.0 1.0 77.0 16.7 78.0 6.6 79.0 5.7 89.0 2.0 91.0 19.3 92.0 4.9 93.0 2.1 102.0 1.6 103.0 6.3 104.0 3.3 105.0 32.3 106.0 3.4 107.0 5.0 108.0 1.4 115.0 15.9 116.0 2.8 117.0 2.5 119.0 6.5 120.0 4.3 121.0 13.2 122.0 1.2 127.0 2.2 128.0 4.7 129.0 8.0 130.0 1.7 131.0 9.1 132.0 6.1 133.0 62.4 134.0 6.7 145.0 3.8 146.0 1.9 147.0 15.9 148.0 100.0 149.0 11.4
90 MHz in CDCl3
-
1H NMR 89.56 MHz C10 H12 O 0.04 ml : 0.5 ml CDCl3 2-allyl-6-methylphenol 
Assign. Shift(ppm)
A *1 7.00 B *1 6.94 C 6.79 D 5.98 E 5.17 F 5.14 G 4.93 J 3.386 K 2.223
Hz ppm Int.632.88 7.067 39 632.56 7.063 41 632.19 7.059 42 630.56 7.041 50 630.19 7.037 50 629.81 7.033 49 626.88 7.000 53 625.13 6.981 99 624.50 6.973 112 623.81 6.966 137 619.69 6.920 169 619.25 6.915 175 617.44 6.895 68 616.88 6.888 63 612.69 6.842 255 605.88 6.766 108 605.06 6.756 90 598.19 6.680 49 558.31 6.234 34 552.00 6.164 67 548.75 6.128 36 545.81 6.095 42 542.44 6.057 72 540.81 6.039 51 536.25 5.988 43 534.50 5.969 94 531.25 5.932 65 528.31 5.899 57 525.00 5.862 123 518.81 5.793 76 473.00 5.282 39 471.06 5.260 115 469.44 5.242 208 467.81 5.224 118 467.44 5.220 115 466.00 5.204 196 464.56 5.188 105 464.06 5.182 82 462.69 5.167 36 457.94 5.114 46 456.44 5.097 99 455.94 5.091 78 455.56 5.087 77 454.56 5.076 138 453.88 5.068 141 453.13 5.060 82 452.00 5.047 95 450.31 5.029 40 441.69 4.932 161 307.69 3.436 104 306.38 3.421 190 304.88 3.405 111 301.56 3.368 101 300.13 3.352 179 298.56 3.334 100 199.06 2.223 1000
更多供应商





