图谱信息 供应商 相关产品
网站主页CAS数据库列表 33693-48-0更多图谱4-苄氧基-3-甲氧基苯甲醇(33693-48-0)红外图谱(IR2)

4-苄氧基-3-甲氧基苯甲醇

产品名称 4-苄氧基-3-甲氧基苯甲醇

CAS号33693-48-0

分子式C15H16O3

分子量244.29

展开


  • Mass

    MS-NW-9537          
    4-benzyloxy-3-methoxybenzyl alcohol
    C15H16O3            (Mass of molecular ion:    244)
    

       Source Temperature: 210 °C
       Sample Temperature: 100 °C
       Direct, 75 eV
    

          18.0       4.4
          28.0       1.8
          39.0       1.6
          41.0       1.1
          51.0       1.0
          65.0       6.9
          67.0       1.1
          77.0       1.1
          91.0     100.0
          92.0       8.2
          93.0       2.1
          95.0       1.0
          97.0       2.6
         107.0       2.2
         121.0       2.5
         136.0       9.8
         137.0       1.3
         138.0       1.1
         153.0       4.3
         244.0      27.6
         245.0       4.6
    

400 MHz in CDCl3


  • 1H NMR 399.65 MHz
    C15 H16 O3 0.038 g : 0.5 ml CDCl3
    4-benzyloxy-3-methoxybenzyl alcohol
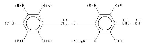
    ChemicalStructure
        Assign.     Shift(ppm)
    A 7.421 B 7.349 C 7.289 D 6.920 E 6.826 F 6.786 G 5.131 J 4.559 K 3.867 L 1.95

         Hz     ppm     Int.
    

       2971.68   7.436     82
       2970.21   7.433    110
       2963.38   7.415    163
       2962.77   7.414    167
       2945.31   7.370     68
       2944.09   7.367    103
       2942.26   7.363     42
       2937.01   7.349    201
       2935.55   7.346     96
       2930.79   7.334     56
       2929.57   7.331    106
       2919.43   7.305     45
       2918.09   7.302     75
       2916.63   7.298     46
       2910.77   7.284     85
       2766.85   6.924    130
       2765.01   6.919    140
       2733.89   6.841     98
       2725.83   6.821    227
       2715.58   6.795    110
       2713.62   6.790    104
       2707.40   6.775     46
       2705.44   6.770     45
       2050.90   5.132    395
       1822.14   4.560    130
       1545.65   3.868   1000
        781.01   1.955     60
    

in CDCl3



KBr disc



nujol mull



4880 A,200 M,powder