图谱信息 供应商 相关产品
网站主页CAS数据库列表 3377-92-2更多图谱三甲基乙酸乙烯酯(3377-92-2)质谱(MS)

三甲基乙酸乙烯酯

产品名称 三甲基乙酸乙烯酯

CAS号3377-92-2

分子式C7H12O2

分子量128.17

展开


  • Mass

    MS-KW-0248          
    vinyl pivalate
    C7H12O2             (Mass of molecular ion:    128)
    

       Source Temperature: 230 °C
       Sample Temperature: 150 °C
       Reservoir, 75 eV
    

          15.0       2.1
          26.0       1.0
          27.0       7.6
          28.0       2.9
          29.0      20.7
          39.0       7.7
          40.0       1.5
          41.0      36.2
          42.0       3.8
          43.0       2.3
          44.0       1.4
          55.0       3.0
          56.0       5.6
          57.0     100.0
          58.0       4.5
          67.0       1.0
          69.0       2.3
          85.0      20.9
          86.0       1.2
          91.0       1.2
    

parameter in CDCl3


  • 1H NMR 300 MHz
    C7 H12 O2 10.7 mol% in CDCl3
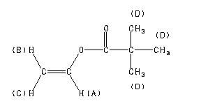
    vinyl pivalate
    ChemicalStructure
        Parameter     ppm  Hz
    D(A) 7.265 D(B) 4.880 D(C) 4.555 J(A,B) 13.97 J(A,C) 6.31 J(B,C) 1.51 D(D) 1.246

         Hz     ppm     Int.
    

       2189.71   7.299     27
       2183.45   7.278     28
       2175.74   7.252     28
       2169.48   7.232     29
       1471.69   4.906     30
       1470.23   4.901     30
       1457.71   4.859     29
       1456.25   4.854     29
       1370.38   4.568     30
       1368.93   4.563     30
       1364.06   4.547     30
       1362.61   4.542     29
        373.82   1.246   1000
    

in CDCl3