图谱信息 供应商 相关产品
网站主页CAS数据库列表 3383-21-9更多图谱3,5-二叔丁基邻苯醌(3383-21-9)质谱(MS)

3,5-二叔丁基邻苯醌

产品名称 3,5-二叔丁基邻苯醌

CAS号3383-21-9

分子式C14H20O2

分子量220.31

展开


  • Mass

    MS-NW-6545          
    3,5-di-tert-butyl-o-benzoquinone
    C14H20O2            (Mass of molecular ion:    220)
    

       Source Temperature: 240 °C
       Sample Temperature: 190 °C
       Reservoir, 75 eV
    

          15.0       1.6
          18.0       2.1
          27.0       8.1
          28.0       1.7
          29.0      22.1
          38.0       1.2
          39.0      15.4
          40.0       2.6
          41.0      41.2
          42.0       1.9
          43.0       4.8
          50.0       2.8
          51.0       8.4
          52.0       3.0
          53.0       6.9
          55.0       7.5
          56.0       2.4
          57.0      75.3
          58.0       3.6
          63.0       3.3
          64.0       1.6
          65.0       8.3
          66.0       2.2
          67.0       6.6
          69.0       2.8
          75.0       1.0
          77.0      11.2
          78.0       2.9
          79.0       7.3
          80.0       1.4
          81.0       2.2
          83.0       1.3
          89.0       1.1
          91.0      22.7
          92.0       4.1
          93.0      21.6
          94.0       2.4
          95.0       2.1
         103.0       2.5
         104.0       1.1
         105.0       7.1
         106.0       2.0
         107.0       9.3
         108.0      59.5
         109.0       6.3
         115.0       2.3
         117.0       2.6
         119.0      10.5
         120.0       2.3
         121.0      10.3
         122.0       3.4
         123.0       2.3
         131.0       1.1
         133.0       8.9
         134.0       9.9
         135.0       9.2
         136.0      14.1
         137.0       6.3
         147.0       2.0
         148.0       1.3
         149.0     100.0
         150.0      12.6
         151.0       1.7
         159.0       1.3
         161.0       1.2
         162.0       1.8
         163.0       1.3
         164.0      45.3
         165.0       5.6
         177.0      20.9
         178.0       2.9
         191.0       1.3
         192.0      39.9
         193.0       6.1
         205.0       1.1
         207.0       9.1
         208.0       1.5
         222.0       2.3
    

parameter in CDCl3


  • 1H NMR 300 MHz
    C14 H20 O2 0.043 g : 0.5 ml CDCl3
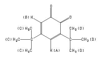
    3,5-di-tert-butyl-o-benzoquinone
    ChemicalStructure
        Parameter     ppm  Hz
    D(A) 6.946 D(B) 6.211 J(A,B) 2.3 D(C) *1 1.274 D(D) *1 1.235

         Hz     ppm     Int.
    

       2084.97   6.950     43
       2082.70   6.942     44
       1864.46   6.215     40
       1862.18   6.207     40
        382.20   1.274   1000
        370.58   1.235   1000
    

in CDCl3



KBr disc



nujol mull