图谱信息 供应商 相关产品
网站主页CAS数据库列表 3420-02-8更多图谱6-甲基吲哚(3420-02-8)核磁图(1HNMR)

6-甲基吲哚

产品名称 6-甲基吲哚

CAS号3420-02-8

分子式C9H9N

分子量131.17

展开


  • Mass

    MS-IW-1271          
    6-methylindole
    C9H9N               (Mass of molecular ion:    131)
    

       Source Temperature: 240 °C
       Sample Temperature: 160 °C
       Reservoir, 75 eV
    

          39.0       1.4
          50.0       1.8
          51.0       4.7
          52.0       2.8
          62.0       1.1
          63.0       2.4
          64.0       1.7
          64.5       4.8
          65.0       5.8
          65.5       4.6
          74.0       1.0
          75.0       1.5
          76.0       1.8
          77.0      11.7
          78.0       2.2
         101.0       1.4
         102.0       4.4
         103.0       9.9
         104.0       2.2
         128.0       3.1
         129.0       2.0
         130.0     100.0
         131.0      82.7
         132.0       7.9
    

400 MHz in CDCl3


  • 1H NMR 399.65 MHz
    C9 H9 N 0.05 ml : 0.5 ml CDCl3
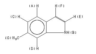
    6-methylindole
    ChemicalStructure
        Assign.     Shift(ppm)
    A 7.489 B 7.46 C 6.927 D 6.882 E 6.831 F 6.418 G 2.410

         Hz     ppm     Int.
    

       2772.71   6.938    135
       2771.73   6.936    147
       2764.65   6.918    127
       2763.79   6.916    143
       2750.73   6.883    244
       2750.00   6.882    239
       2733.03   6.839    164
       2730.47   6.833    206
       2729.86   6.831    212
       2727.42   6.825    174
       2568.12   6.426    119
       2567.14   6.424    131
       2566.04   6.421    142
       2565.06   6.419    202
       2563.96   6.416    142
       2562.87   6.413    134
       2562.01   6.411    120
        963.13   2.410   1000
    

liquid film