图谱信息 供应商 相关产品
网站主页CAS数据库列表 34225-81-5更多图谱3-甲基茚-2-羧酸(34225-81-5)红外图谱(IR2)

3-甲基茚-2-羧酸

产品名称 3-甲基茚-2-羧酸

CAS号34225-81-5

分子式C11H10O2

分子量174.2

展开


  • Mass

    MS-NW-6696          
    3-methyl-2-indenecarboxylic acid
    C11H10O2            (Mass of molecular ion:    174)
    

       Source Temperature: 260 °C
       Sample Temperature: 190 °C
       Reservoir, 75 eV
    

          17.0       1.0
          18.0       4.4
          27.0       2.3
          28.0       1.2
          38.0       1.2
          39.0       5.0
          44.0       2.7
          45.0       2.2
          50.0       5.6
          51.0      12.8
          52.0       2.0
          53.0       1.1
          61.0       1.4
          62.0       3.4
          63.0      10.0
          63.5       5.0
          64.0       7.6
          64.5       2.2
          65.0       1.7
          74.0       4.9
          75.0       5.3
          76.0       3.5
          77.0      11.6
          77.5       3.2
          78.0       4.1
          86.0       1.4
          87.0       2.4
          89.0       2.3
          91.0       1.4
          98.0       1.3
         101.0       3.4
         102.0       7.3
         103.0       4.4
         114.0       1.7
         115.0      36.8
         116.0       4.7
         126.0       5.3
         127.0      25.6
         128.0      57.3
         129.0     100.0
         130.0      55.9
         131.0       9.3
         132.0       1.2
         145.0       1.4
         146.0       4.3
         155.0       3.6
         156.0       4.4
         157.0       3.7
         174.0      77.6
         175.0      10.3
         176.0       1.1
    

400 MHz in DMSO-d6


  • 1H NMR 399.65 MHz
    C11 H10 O2 0.037 g : 0.5 ml DMSO-d6
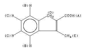
    3-methyl-2-indenecarboxylic acid
    ChemicalStructure
        Assign.     Shift(ppm)
    A 12.2 B 7.55 to 7.52 C 7.38 D 3.597 E 2.484

         Hz     ppm     Int.
    

       3023.71   7.566    116
       3021.70   7.561    112
       3020.78   7.559    107
       3019.50   7.556     96
       3016.94   7.549    130
       3015.65   7.546    151
       3015.10   7.545    148
       3011.26   7.535    108
       3010.52   7.533    116
       3009.43   7.531     99
       3006.68   7.524     90
       3005.58   7.521    121
       3005.03   7.520    117
       3002.65   7.514    128
       3002.10   7.512    122
       2958.51   7.403     43
       2953.19   7.390    192
       2951.54   7.386    298
       2948.06   7.377    316
       2944.95   7.369    216
       2944.40   7.368    215
       2943.12   7.365    183
       2937.81   7.351     41
       1438.96   3.601    346
       1436.76   3.596    339
        997.71   2.497    513
        995.33   2.491   1000
        992.95   2.485    455
    

DMSO-d6



KBr disc



nujol mull