图谱信息 供应商 相关产品
网站主页CAS数据库列表 343-27-1更多图谱哈尔碱盐酸盐(水合)(343-27-1)核磁图(1HNMR)

哈尔碱盐酸盐(水合)

产品名称 哈尔碱盐酸盐(水合)

CAS号343-27-1

分子式C13H13ClN2O

分子量248.71

展开

90 MHz in D2O


  • 1H NMR 89.56 MHz
    C13 H12 N2 O saturated in D2O
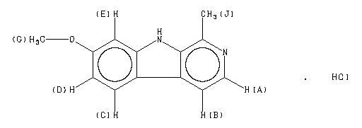
    7-methoxy-1-methyl-beta-carboline hydrochloride
    ChemicalStructure
        Assign.     Shift(ppm)
    A 7.47 B 7.20 C 6.98 D 6.20 E 5.89 G 3.588 J 2.159 J(A,B)=6.3 HZ THE SOLVENT SIGNAL REMOVED.

         Hz     ppm     Int.
    

        672.88   7.514    201
        666.44   7.442    288
        647.69   7.232    274
        641.38   7.162    189
        630.44   7.040    195
        630.06   7.036    190
        621.50   6.940    237
        560.88   6.263    151
        560.44   6.258    148
        559.56   6.248    142
        558.69   6.239    159
        551.88   6.163    137
        551.38   6.157    121
        550.94   6.152    121
        550.13   6.143    123
        549.75   6.139    123
        527.94   5.895    290
        526.56   5.880    239
        526.00   5.874    240
        321.44   3.590   1000
        193.56   2.162    925
    

KBr disc