-
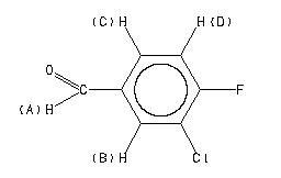
MS-IW-9539 3-chloro-4-fluorobenzaldehyde C7H4ClFO (Mass of molecular ion: 158)
Source Temperature: 220 °C Sample Temperature: 150 °C Reservoir, 75 eV
28.0 1.8 29.0 3.8 31.0 2.5 36.0 1.6 37.0 2.9 38.0 1.8 39.0 1.1 49.0 1.6 50.0 9.0 51.0 2.4 57.0 1.4 61.0 3.3 62.0 2.8 63.0 3.8 64.5 1.2 68.0 7.3 69.0 5.7 70.0 1.2 73.0 3.3 74.0 10.2 75.0 11.5 78.5 1.2 84.0 1.5 85.0 1.1 91.0 1.0 92.0 2.8 93.0 11.3 94.0 14.3 95.0 16.6 96.0 1.2 103.0 1.1 109.0 7.6 111.0 2.6 128.0 1.3 129.0 62.3 130.0 8.5 131.0 20.3 132.0 2.7 157.0 100.0 158.0 67.9 159.0 37.2 160.0 21.8 161.0 1.7 174.0 4.7 176.0 1.6
400 MHz in CDCl3
-
1H NMR 399.65 MHz C7 H4 Cl F O 0.05 ml : 0.5 ml CDCl3 3-chloro-4-fluorobenzaldehyde 
Assign. Shift(ppm)
A 9.943 B 7.954 C 7.822 D 7.328
Hz ppm Int.3973.85 9.944 1000 3183.59 7.966 385 3181.61 7.961 391 3176.57 7.949 381 3174.44 7.944 377 3133.85 7.842 226 3131.71 7.837 209 3129.12 7.830 230 3127.14 7.825 221 3125.46 7.821 243 3123.32 7.816 230 3120.73 7.809 238 3118.74 7.804 213 2937.16 7.350 307 2934.72 7.344 22 2928.77 7.329 553 2923.58 7.316 22 2920.23 7.307 279
更多供应商





