图谱信息 供应商 相关产品
网站主页CAS数据库列表 3433-80-5更多图谱2-溴溴苄(3433-80-5)核磁图(1HNMR)

2-溴溴苄

产品名称 2-溴溴苄

CAS号3433-80-5

分子式C7H6Br2

分子量249.93

展开



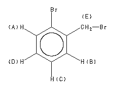
  •     Assign.     Shift(ppm)
    A 7.56 B 7.45 C 7.29 D 7.13 E 4.595
    Spectral Code: 1H NMR : 90 MHz in CDCl3



  •        ppm   Int.  Assign.
    137.04 418 1 133.31 826 2 131.24 905 3 130.04 930 4 127.90 791 5 124.45 373 6 33.27 1000 7
    Spectral Code: 13C NMR : in CDCl3


  • Spectral Code: IR : liquid film


  • Spectral Code: Raman : 4880 A,200 M,powder