-
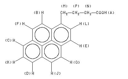
MS-NW-9506 1-pyrenebutyric acid C20H16O2 (Mass of molecular ion: 288)
Source Temperature: 180 °C Sample Temperature: 160 °C Direct, 75 eV
18.0 3.9 28.0 1.3 93.5 1.2 94.5 5.3 95.0 1.0 101.0 1.1 106.5 2.5 107.0 1.0 107.5 3.3 108.0 1.2 112.0 1.1 113.0 3.0 113.5 1.1 118.5 1.8 119.0 1.7 119.5 3.3 120.0 2.9 121.0 1.3 144.0 1.5 187.0 1.2 189.0 4.8 200.0 1.4 202.0 2.0 211.0 1.1 213.0 7.6 214.0 4.4 215.0 100.0 216.0 21.2 217.0 2.3 221.0 1.2 226.0 5.9 227.0 7.2 228.0 7.1 229.0 1.7 237.0 1.5 238.0 1.0 239.0 6.1 240.0 2.7 241.0 6.3 242.0 10.0 243.0 2.8 270.0 1.4 288.0 52.3 289.0 11.5 290.0 1.6
400 MHz in DMSO-d6
-
1H NMR 399.65 MHz C20 H16 O2 0.023 g : 0.5 ml DMSO-d6 1-pyrenebutyric acid 
Assign. Shift(ppm)
A 12.2 B 8.414 C *1 8.29 D *1 8.28 E 8.233 F 8.229 G 8.146 J 8.138 K 8.073 L 7.947 M 3.359 N 2.420 P 2.031 ASSIGNED BY H-H AND C-H COSY.
Hz ppm Int.3368.16 8.428 314 3361.82 8.412 32 3358.89 8.405 404 3323.73 8.317 30 3317.63 8.302 255 3313.23 8.291 274 3312.26 8.288 276 3311.04 8.285 248 3310.06 8.283 311 3305.66 8.272 355 3304.44 8.269 239 3301.27 8.261 40 3300.54 8.259 41 3298.34 8.254 52 3297.12 8.251 57 3294.68 8.244 393 3292.97 8.240 450 3289.55 8.232 54 3286.87 8.225 426 3283.69 8.217 345 3265.63 8.172 38 3263.92 8.167 105 3262.21 8.163 30 3261.72 8.162 32 3260.99 8.160 34 3258.06 8.153 56 3254.88 8.145 992 3253.42 8.141 1000 3249.76 8.132 32 3244.38 8.119 104 3233.89 8.092 352 3229.74 8.082 34 3228.52 8.079 33 3226.07 8.073 546 3218.51 8.054 290 3183.11 7.965 31 3179.93 7.957 416 3176.27 7.948 31 3174.80 7.944 35 3174.32 7.943 37 3172.12 7.938 376 1367.19 3.421 69 1356.45 3.395 47 1355.47 3.392 51 1354.74 3.390 51 1354.25 3.389 54 1353.76 3.388 58 1350.34 3.379 213 1347.17 3.371 74 1346.68 3.370 78 1342.77 3.360 245 1341.06 3.356 197 1338.38 3.349 72 1337.65 3.348 70 1334.72 3.340 208 974.61 2.439 223 970.70 2.429 67 967.29 2.421 517 960.21 2.403 268 826.66 2.069 64 825.20 2.065 40 824.22 2.063 32 823.49 2.061 35 819.34 2.051 163 817.14 2.045 100 815.67 2.041 68 811.77 2.032 196 806.15 2.018 85 803.96 2.012 154 798.34 1.998 30 796.63 1.994 53
更多供应商





