图谱信息 供应商 相关产品
网站主页CAS数据库列表 3465-72-3更多图谱尿刊酸(3465-72-3)核磁图(13CNMR)

尿刊酸

产品名称 尿刊酸

CAS号3465-72-3

分子式C6H6N2O2

分子量138.12

展开


  • Mass

    MS-NW-1964          
    trans-3-(4-imidazolyl)acrylic acid
    C6H6N2O2            (Mass of molecular ion:    138)
    

       Source Temperature: 140 °C
       Sample Temperature: 130 °C
       Direct, 75 eV
    

          18.0       3.4
          26.0       2.0
          27.0       4.3
          28.0      25.1
          29.0       2.9
          37.0       7.2
          38.0      21.1
          39.0      51.2
          40.0      12.1
          41.0      11.5
          42.0       1.2
          44.0       2.4
          45.0       4.9
          46.5       2.3
          50.0       1.4
          51.0       1.9
          52.0       4.2
          53.0       1.6
          54.0       4.5
          55.0       7.5
          63.0       1.2
          64.0       2.8
          65.0      14.8
          66.0      20.7
          67.0       5.7
          68.0      24.0
          69.0       1.5
          81.0       2.7
          82.0       1.2
          83.0       1.0
          84.0       1.6
          92.0      19.5
          93.0      60.9
          94.0     100.0
          95.0       6.9
         109.0       1.8
         110.0       1.7
         120.0      33.3
         121.0      12.6
         122.0       1.0
         138.0      63.1
         139.0       5.0
    

400 MHz in DMSO-d6


  • 1H NMR 399.65 MHz
    C6 H6 N2 O2 0.040 g : 0.5 ml DMSO-d6
    trans-3-(4-imidazolyl)acrylic acid
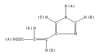
    ChemicalStructure
        Assign.     Shift(ppm)
    A 11. B *1 7.822 C *1 7.530 D 7.508 E 6.326

         Hz     ppm     Int.
    

       3126.22   7.823    860
       3021.24   7.560     25
       3020.51   7.558     26
       3020.02   7.557     26
       3009.52   7.531   1000
       3001.71   7.511     28
       3001.22   7.510     27
       2993.16   7.490    605
       2535.89   6.346    686
       2520.26   6.307    636
    

in DMSO-d6



KBr disc



nujol mull



4880 A,200 M,powder