图谱信息 供应商 相关产品
网站主页CAS数据库列表 34698-41-4更多图谱1-氨基茚满(34698-41-4)红外图谱(IR1)

1-氨基茚满

产品名称 1-氨基茚满

CAS号34698-41-4

分子式C9H11N

分子量133.19

展开


  • Mass

    MS-NW-5726          
    1-indanamine
    C9H11N              (Mass of molecular ion:    133)
    

       Source Temperature: 250 °C
       Sample Temperature: 190 °C
       Reservoir, 75 eV
    

          18.0       2.3
          27.0       1.8
          28.0       3.8
          30.0       3.0
          39.0       3.9
          42.0       1.6
          50.0       2.2
          51.0       4.5
          52.0       1.7
          53.0       1.4
          54.0       1.6
          56.0       1.3
          62.0       1.2
          63.0       3.3
          64.5       1.8
          65.0       4.1
          65.5       3.2
          66.0       1.6
          74.0       1.0
          75.0       1.1
          76.0       1.2
          77.0       6.5
          78.0       3.0
          79.0       2.3
          89.0       3.0
          90.0       2.0
          91.0       7.3
         102.0       1.0
         103.0       2.9
         104.0       7.5
         105.0       3.8
         106.0       1.7
         115.0      18.1
         116.0      31.3
         117.0      25.3
         118.0       3.3
         130.0       5.5
         131.0       3.1
         132.0     100.0
         133.0      19.3
         134.0       2.4
    

400 MHz in CDCl3


  • 1H NMR 399.65 MHz
    C9 H11 N 0.05 ml : 0.5 ml CDCl3
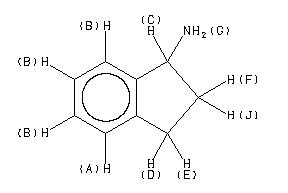
    1-indanamine
    ChemicalStructure
        Assign.     Shift(ppm)
    A 7.29 B 7.18 C 4.306 D *1 2.914 E *1 2.768 F *2 2.455 G 1.66 J *2 1.64

         Hz     ppm     Int.
    

       2919.31   7.305    206
       2915.53   7.296    146
       2914.18   7.292    152
       2911.50   7.286    268
       2886.35   7.223     60
       2883.91   7.217    106
       2880.37   7.208    108
       2877.44   7.200    288
       2875.12   7.195    448
       2872.68   7.188    592
       2870.48   7.183   1000
       2868.77   7.179    782
       2865.97   7.172    228
       2864.38   7.168    169
       2859.13   7.155     54
       2857.18   7.150     67
       2855.59   7.146     46
       1728.39   4.325    178
       1720.95   4.307    340
       1713.38   4.288    187
       1180.54   2.954     97
       1177.25   2.946    105
       1171.88   2.933    103
       1168.58   2.925    110
       1164.67   2.915    167
       1161.38   2.906    170
       1156.13   2.893    174
       1152.83   2.885    173
       1121.09   2.806    124
       1112.79   2.785    239
       1104.74   2.765    197
       1097.05   2.746    148
       1088.50   2.724     94
        996.70   2.494    105
        993.29   2.486    104
        989.14   2.476    146
        985.84   2.467    149
        984.13   2.463    135
        980.96   2.455    145
        978.15   2.448    119
        976.68   2.444    165
        973.39   2.436    155
        968.99   2.425    110
        965.70   2.417    103
        673.95   1.687    230
        665.28   1.665    355
        661.38   1.655    214
        657.35   1.645    300
        652.59   1.633    265
        648.68   1.624    150
        644.78   1.614    242
        639.04   1.599     33
        636.11   1.592    113
    

in CDCl3



liquid film