图谱信息 供应商 相关产品
网站主页CAS数据库列表 34798-80-6更多图谱methyl (4-phenyl-4-piperidyl) ketone(34798-80-6)红外图谱(IR1)

methyl (4-phenyl-4-piperidyl) ketone

产品名称 methyl (4-phenyl-4-piperidyl) ketone

CAS号34798-80-6

分子式C13H17NO

分子量203.28

展开


  • Mass

    MS-NW-8849          
    4-acetyl-4-phenylpiperidine
    C13H17NO            (Mass of molecular ion:    203)
    

       Source Temperature: 280 °C
       Sample Temperature: 140 °C
       Reservoir, 75 eV
    

          15.0       1.0
          17.0       1.2
          18.0       6.3
          27.0       1.7
          28.0       6.0
          29.0       2.0
          30.0      12.5
          39.0       1.7
          41.0       2.3
          42.0     100.0
          43.0      28.8
          44.0      13.3
          51.0       2.6
          53.0       3.2
          55.0       1.2
          56.0      65.2
          57.0      78.1
          58.0       5.9
          63.0       1.0
          65.0       2.4
          70.0       1.2
          77.0       8.5
          78.0       1.9
          79.0       1.2
          80.0       1.2
          82.0       3.9
          83.0       1.6
          86.0       1.0
          89.0       1.0
          91.0      20.8
          92.0       2.2
          99.0       1.8
         102.0       2.1
         103.0      12.4
         104.0       2.0
         105.0       4.9
         106.0       1.0
         115.0       8.0
         116.0       4.3
         117.0       3.8
         118.0       1.7
         119.0       1.6
         127.0       1.7
         128.0       4.2
         129.0       5.4
         130.0       3.4
         131.0       8.4
         132.0       2.2
         133.0       1.5
         143.0       2.3
         144.0       1.9
         145.0       2.1
         146.0       1.2
         147.0       2.5
         148.0       8.2
         158.0       3.7
         159.0       1.9
         160.0      31.4
         161.0       5.0
         186.0       4.2
         188.0       4.8
         202.0       1.6
         203.0      31.4
         204.0       5.2
    

400 MHz in CDCl3


  • 1H NMR 399.65 MHz
    C13 H17 N O 0.037 g : 0.5 ml CDCl3
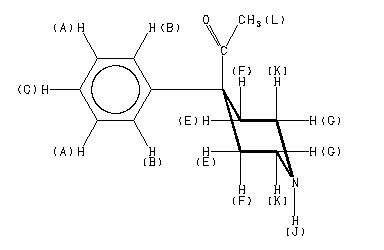
    4-acetyl-4-phenylpiperidine
    ChemicalStructure
        Assign.     Shift(ppm)
    A 7.355 B 7.308 C 7.267 E 2.99 F 2.81 G 2.40 J 2.33 K 1.97 L 1.906

         Hz     ppm     Int.
    

       2949.58   7.381     41
       2948.73   7.379     60
       2942.14   7.362    113
       2941.04   7.360    151
       2940.31   7.358    125
       2935.91   7.347     61
       2933.96   7.342    174
       2924.19   7.317    161
       2922.61   7.313    208
       2916.38   7.298    131
       2915.53   7.296    107
       2911.38   7.285     66
       2910.03   7.282     69
       2908.45   7.278     41
       2905.03   7.269     46
       2902.95   7.264    107
       2895.87   7.247     43
       1202.27   3.009     38
       1189.82   2.978     53
        968.02   2.423     46
        954.35   2.388     55
        932.62   2.334     49
        801.15   2.005     34
        797.61   1.996     36
        787.60   1.971     59
        784.42   1.963     41
        777.47   1.946     31
        774.17   1.938     30
        773.56   1.936     30
        761.72   1.906   1000
    

in CDCl3



KBr disc



nujol mull