-
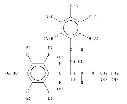
MS-IW-2326 N-benzoyl-L-tyrosine ethyl ester C18H19NO4 (Mass of molecular ion: 313)
Source Temperature: 140 °C Sample Temperature: 130 °C Direct, 75 eV
27.0 1.3 28.0 1.9 29.0 1.5 31.0 1.2 39.0 1.2 44.0 1.0 50.0 1.3 51.0 6.2 52.0 1.0 53.0 1.0 76.0 1.9 77.0 43.1 78.0 4.5 79.0 2.2 91.0 1.5 104.0 1.1 105.0 100.0 106.0 9.0 107.0 46.9 108.0 5.0 118.0 1.0 119.0 1.3 120.0 10.6 121.0 1.3 122.0 34.3 123.0 2.9 133.0 2.5 147.0 13.7 148.0 2.1 161.0 7.3 162.0 1.0 164.0 5.1 177.0 1.8 192.0 90.6 193.0 11.2 194.0 1.2 207.0 2.2 239.0 1.3 240.0 5.2 268.0 2.0 313.0 5.5 314.0 1.1
90 MHz in CDCl3
-
1H NMR 89.56 MHz C18 H19 N O4 0.042 g : 0.5 ml CDCl3 N-benzoyl-L-tyrosine ethyl ester 
Assign. Shift(ppm)
A 7.71 B 7.54 C 7.39 D 6.96 E 6.73 F *1 6.71 G *1 6.18 J 5.035 K 4.205 L *2 3.19 M *2 3.13 N 1.271 CONFIRMED BY LAOCN PROGRAM.
Hz ppm Int.696.13 7.773 134 694.38 7.754 166 692.63 7.734 86 691.69 7.724 80 691.00 7.716 71 688.88 7.692 162 686.56 7.666 258 672.81 7.513 63 671.69 7.500 84 669.44 7.475 70 668.31 7.463 179 667.06 7.449 360 663.81 7.412 145 661.44 7.386 91 660.56 7.376 125 659.69 7.366 161 629.00 7.024 185 627.00 7.001 68 626.88 7.000 68 622.56 6.952 87 622.13 6.947 78 620.38 6.927 391 618.19 6.903 66 617.75 6.898 66 608.13 6.791 71 607.63 6.785 63 605.81 6.765 504 603.75 6.742 146 599.31 6.692 95 597.13 6.668 278 454.13 5.071 107 448.38 5.007 52 446.31 4.984 96 387.69 4.329 105 380.44 4.248 365 373.25 4.168 387 366.19 4.089 125 285.63 3.190 173 285.13 3.184 174 279.44 3.121 164 120.88 1.350 425 113.81 1.271 1000 106.63 1.191 384
更多供应商





