图谱信息 供应商 相关产品
网站主页CAS数据库列表 35044-68-9更多图谱Beta-大马酮(35044-68-9)核磁图(1HNMR)

Beta-大马酮

产品名称 Beta-大马酮

CAS号35044-68-9

分子式C13H20O

分子量192.3

展开



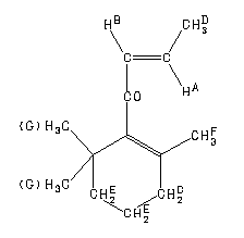
  •     Assign.     Shift(ppm)
    A 6.710 B 6.156 C 1.97 D 1.916 E 1.90 to 1.33 F 1.511 G 1.023 J(A,B)=15.7HZ. J(A,D)=6.7HZ. J(B,D)=1.5HZ.
    Spectral Code: 1H NMR : 90 MHz in CDCl3



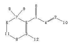
  •        ppm   Int.  Assign.
    201.91 221 1 145.32 402 2 140.51 219 3 134.72 448 4 130.40 320 5 38.98 446 6 33.46 407 7 31.27 506 8 28.91 1000 9 21.29 478 10 19.04 501 11 18.25 370 12
    Spectral Code: 13C NMR : in CDCl3


  • Spectral Code: IR : liquid film

Beta-大马酮(35044-68-9)核磁图(1HNMR) 相关产品图谱