图谱信息 供应商 相关产品
网站主页CAS数据库列表 3520-42-1更多图谱磺酰罗丹明B(3520-42-1)红外图谱(IR1)

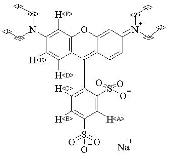
磺酰罗丹明B

产品名称 磺酰罗丹明B

CAS号3520-42-1

分子式C27H31N2NaO7S2

分子量582.66

展开

400 MHz in DMSO-d6


  • 1H NMR 399.65 MHz
    C27 H29 N2 Na O7 S2 saturated in DMSO-d6
    Acid Red
    ChemicalStructure
        Assign.     Shift(ppm)
    A 8.294 B 7.751 C 7.174 D *1 7.04 E *1 7.03 F 6.92 G 3.64 J 1.206

         Hz     ppm     Int.
    

       3315.55   8.297    199
       3313.96   8.293    196
       3102.78   7.764     95
       3101.07   7.760     90
       3094.97   7.745    104
       3093.38   7.741    101
       2871.09   7.185    153
       2863.28   7.165    150
       2811.77   7.036    704
       2805.42   7.020     34
       2805.05   7.019     33
       2804.69   7.018     32
       2802.49   7.013     44
       2765.75   6.921    308
       1472.29   3.684     30
       1471.80   3.683     31
       1471.31   3.682     30
       1470.95   3.681     30
       1463.50   3.662    131
       1463.13   3.662    132
       1462.40   3.660    130
       1461.79   3.658    130
       1456.67   3.645    327
       1448.97   3.626    330
       1443.73   3.613    138
       1443.12   3.611    138
       1442.63   3.610    139
       1442.02   3.609    139
       1441.65   3.608    139
       1435.42   3.592     36
       1435.06   3.591     36
       1433.84   3.588     37
        488.77   1.223    503
        481.93   1.206   1000
        474.85   1.189    492
        464.84   1.164     31
    

in DMSO-d6



KBr disc



nujol mull