-
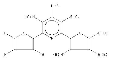
MS-IW-8143 2,6-di(2-thienyl)pyridine C13H9NS2 (Mass of molecular ion: 243)
Source Temperature: 140 °C Sample Temperature: 100 °C Direct, 75 eV
39.0 1.3 45.0 1.7 63.0 1.3 69.0 1.3 89.0 1.8 99.5 3.6 105.0 1.0 108.0 2.7 116.0 1.0 121.5 6.2 122.0 1.2 133.0 1.0 134.0 1.5 154.0 1.0 159.0 1.0 160.0 1.8 171.0 1.0 197.0 1.2 198.0 2.7 199.0 2.2 209.0 1.9 210.0 8.7 211.0 1.6 217.0 1.0 241.0 1.6 242.0 11.5 243.0 100.0 244.0 17.0 245.0 10.0 246.0 1.4
400 MHz in CDCl3
-
1H NMR 399.65 MHz C13 H9 N S2 0.006 g : 0.5 ml CDCl3 2,6-di(2-thienyl)pyridine 
Assign. Shift(ppm)
A 7.659 B 7.631 C 7.485 D 7.400 E 7.113 J(A,C)=7.8HZ J(B,D)=1.2HZ J(B,E)=3.8HZ J(D,E)=5.1HZ
Hz ppm Int.3069.95 7.682 235 3062.50 7.663 312 3061.65 7.661 327 3054.20 7.643 405 3052.12 7.637 654 3051.03 7.635 661 3048.46 7.628 671 3047.36 7.626 650 2994.63 7.494 1000 2986.82 7.474 700 2963.50 7.416 33 2960.94 7.409 604 2959.72 7.406 596 2955.81 7.396 664 2954.71 7.394 638 2847.29 7.125 643 2843.51 7.116 665 2842.16 7.112 643 2838.50 7.103 599




