-
MS-IW-4881 2-methyl-4-indolol C9H9NO (Mass of molecular ion: 147)
Source Temperature: 140 °C Sample Temperature: 110 °C Direct, 75 eV
39.0 1.9 42.0 1.1 50.0 1.8 51.0 3.5 52.0 1.3 58.5 5.9 59.0 1.2 63.0 1.5 64.5 3.1 65.0 3.1 73.0 6.6 73.5 7.8 74.0 1.4 75.0 1.0 76.0 1.1 77.0 2.2 78.0 2.4 89.0 2.2 90.0 2.1 91.0 5.4 92.0 1.0 104.0 3.7 105.0 1.2 116.0 1.1 117.0 7.4 118.0 18.8 119.0 8.0 128.0 1.0 130.0 2.2 132.0 1.0 145.0 1.5 146.0 85.5 147.0 100.0 148.0 10.2
400 MHz in DMSO-d6
-
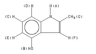
1H NMR 399.65 MHz C9 H9 N O 0.038 g : 0.5 ml DMSO-d6 2-methyl-4-indolol 
Assign. Shift(ppm)
A 10.7 B 9.07 C 6.764 D 6.732 E 6.305 F 6.158 G 2.331
Hz ppm Int.4271.07 10.688 96 3625.60 9.072 817 2713.25 6.790 106 2705.37 6.770 247 2698.04 6.752 293 2693.65 6.741 186 2692.55 6.738 268 2691.81 6.736 203 2685.77 6.721 82 2684.85 6.719 103 2683.76 6.716 63 2524.22 6.317 226 2522.94 6.313 225 2517.07 6.299 221 2515.79 6.295 209 2463.22 6.164 141 2462.49 6.162 200 2461.39 6.159 214 2460.29 6.157 196 2459.38 6.154 130 932.13 2.333 1000 931.22 2.331 955
更多供应商





