-
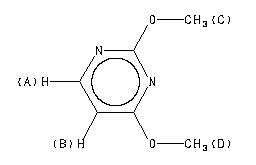
MS-IW-7193 2,4-dimethoxypyrimidine C6H8N2O2 (Mass of molecular ion: 140)
Source Temperature: 220 °C Sample Temperature: 150 °C Reservoir, 75 eV
15.0 12.5 26.0 2.8 27.0 4.3 28.0 10.4 29.0 3.2 30.0 1.4 38.0 1.4 39.0 5.6 40.0 13.2 41.0 4.8 42.0 24.2 43.0 2.3 44.0 1.5 51.0 2.0 52.0 4.9 53.0 14.2 54.0 5.5 55.0 5.9 56.0 9.3 57.0 1.0 58.0 2.1 65.0 1.1 66.0 2.9 67.0 8.1 68.0 9.9 69.0 9.8 70.0 8.0 79.0 3.4 80.0 8.9 81.0 9.7 82.0 12.9 83.0 3.8 93.0 1.3 94.0 3.0 95.0 44.2 96.0 3.2 97.0 2.3 109.0 6.6 110.0 89.5 111.0 15.6 112.0 1.1 122.0 1.0 125.0 14.9 126.0 1.1 139.0 60.3 140.0 100.0 141.0 10.0
400 MHz in CDCl3
更多供应商





