-
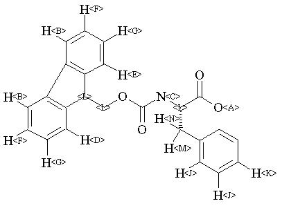
MS-IW-2651 N-((9-fluorenyl)methoxycarbonyl)-L-phenylalanine C24H21NO4 (Mass of molecular ion: 387)
Source Temperature: 180 °C Sample Temperature: 180 °C Direct, 75 eV
18.0 2.6 28.0 2.6 39.0 3.3 44.0 1.2 50.0 1.5 51.0 3.2 62.0 1.3 63.0 3.7 65.0 7.0 69.5 1.1 74.0 2.3 75.0 1.4 76.0 1.7 77.0 1.9 82.5 1.5 87.0 1.2 88.0 1.6 89.0 3.2 90.0 1.2 91.0 100.0 92.0 10.6 103.0 1.0 115.0 2.5 120.0 1.1 139.0 4.0 151.0 1.3 152.0 1.9 162.0 1.0 163.0 9.0 164.0 8.1 165.0 81.5 166.0 61.5 167.0 8.6 176.0 2.7 177.0 2.2 178.0 30.9 179.0 6.3 191.0 3.8 196.0 25.6 197.0 4.0
400 MHz in DMSO-d6
-
1H NMR 399.65 MHz C24 H21 N O4 0.045 g : 0.5 ml DMSO-d6 N-((9-fluorenyl)methoxycarbonyl)-L-phenylalanine 
Assign. Shift(ppm)
A 12.78 B 7.886 C 7.76 D *1 7.66 E *1 7.64 F 7.41 G 7.32 J 7.28 K 7.21 L 4.22 to 4.13 M *2 3.086 N *2 2.878 ASSIGNED BY C-H COSY.
Hz ppm Int.3155.59 7.896 330 3148.08 7.878 365 3107.42 7.776 110 3098.99 7.755 114 3065.29 7.670 149 3057.60 7.651 300 3049.72 7.631 172 2971.88 7.437 84 2968.95 7.429 114 2964.55 7.418 190 2962.17 7.412 238 2961.62 7.411 238 2957.22 7.400 128 2954.66 7.394 144 2932.68 7.339 118 2925.17 7.320 198 2921.51 7.311 170 2920.59 7.308 182 2918.39 7.303 123 2917.66 7.301 130 2912.16 7.287 768 2907.58 7.276 1000 2899.53 7.256 63 2897.51 7.251 49 2895.31 7.245 34 2894.58 7.243 31 2892.75 7.239 43 2890.92 7.234 32 2888.90 7.229 91 2884.69 7.219 120 2880.29 7.208 122 2875.53 7.196 65 1682.93 4.212 154 1677.44 4.198 441 1670.66 4.181 235 1665.17 4.167 150 1662.42 4.160 107 1658.76 4.151 58 1657.66 4.148 63 1656.74 4.146 59 1653.63 4.138 31 1244.07 3.113 53 1240.40 3.104 58 1240.04 3.103 59 1230.33 3.079 79 1226.48 3.069 77 1161.64 2.907 67 1150.29 2.879 77 1149.00 2.876 68 1148.45 2.874 66 1137.28 2.846 50 1136.55 2.844 48
更多供应商






