-
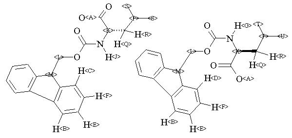
MS-IW-2631 N-((9-fluorenyl)methoxycarbonyl)-L-leucine C21H23NO4 (Mass of molecular ion: 353)
Source Temperature: 170 °C Sample Temperature: 160 °C Direct, 75 eV
27.0 3.7 28.0 6.0 29.0 6.5 30.0 1.1 39.0 4.3 41.0 11.6 42.0 2.7 43.0 26.4 44.0 2.6 51.0 1.3 55.0 2.2 56.0 1.1 57.0 17.5 62.0 1.1 63.0 2.8 69.0 2.0 69.5 1.7 70.0 3.9 73.0 2.1 74.0 2.1 75.0 1.7 76.0 2.2 81.5 1.3 82.0 1.5 82.5 2.3 83.0 2.0 85.0 1.8 86.0 2.0 87.0 2.4 88.0 2.2 89.0 2.5 99.0 1.4 101.0 15.3 112.0 3.0 113.0 1.4 115.0 3.5 139.0 5.3 150.0 1.1 151.0 1.9 152.0 2.8 162.0 1.4 163.0 11.3 164.0 10.5 165.0 100.0 166.0 76.0 167.0 10.7 176.0 3.8 177.0 3.0 178.0 35.7 179.0 6.8 196.0 31.9 197.0 4.7
400 MHz in CDCl3
-
1H NMR 399.65 MHz C21 H23 N O4 0.033 g : 0.5 ml CDCl3 N-((9-fluorenyl)methoxycarbonyl)-L-leucine 
Assign. Shift(ppm)
A 10.0 B 7.74 C 7.58 D 7.54 E 7.38 F 7.30 G 6.10 J 5.21 K 4.48 L 4.41 M 4.211 N 4.10 P 1.72 Q *1 1.68 R *1 1.56 S 0.950 T *2 0.894 U *2 0.842
Hz ppm Int.3099.06 7.755 342 3091.43 7.736 432 3036.19 7.598 180 3029.33 7.580 264 3024.14 7.567 229 3015.44 7.546 73 3014.83 7.544 73 3010.86 7.534 57 3010.41 7.533 58 3007.97 7.527 62 2957.61 7.401 163 2950.29 7.383 385 2942.81 7.364 282 2922.52 7.313 261 2915.04 7.294 425 2907.71 7.276 221 2085.11 5.218 146 2076.42 5.196 155 1788.48 4.476 42 1786.19 4.470 39 1785.58 4.468 38 1779.33 4.453 71 1776.73 4.446 90 1771.85 4.434 151 1768.65 4.426 308 1766.36 4.420 311 1761.78 4.409 333 1759.49 4.403 302 1748.66 4.376 41 1689.61 4.228 130 1682.59 4.211 238 1675.72 4.193 115 694.58 1.738 56 683.90 1.712 154 675.96 1.692 147 671.39 1.680 120 667.72 1.671 78 662.69 1.659 59 641.94 1.607 35 632.93 1.584 90 624.24 1.562 113 615.39 1.540 67 612.34 1.533 40 610.96 1.529 41 382.69 0.958 1000 376.74 0.943 989 360.26 0.902 124 354.46 0.887 106 346.98 0.869 43 339.36 0.850 99 333.71 0.836 89
更多供应商





