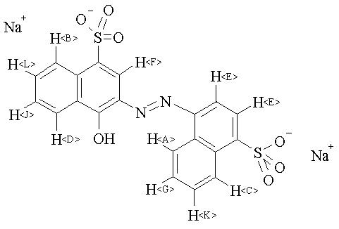
4-羟基-3-(4-磺酸-1-萘偶氮)-1-萘磺酸二钠盐
产品名称 4-羟基-3-(4-磺酸-1-萘偶氮)-1-萘磺酸二钠盐
CAS号3567-69-9
分子式C20H15N2NaO7S2
分子量482.46
400 MHz in DMSO-d6
-
1H NMR 399.65 MHz C20 H12 N2 Na2 O7 S2 0.040 g : 0.5 ml DMSO-d6 Azo Rubine S 
Assign. Shift(ppm)
A 9.019 B 8.712 C 8.50 D 8.48 E 8.15 F 8.068 G 7.822 J 7.778 K 7.720 L 7.627 ASSIGNED BY H-H COSY
Hz ppm Int.3608.86 9.031 210 3600.31 9.009 219 3486.18 8.724 218 3478.09 8.703 233 3399.81 8.507 190 3396.76 8.500 61 3392.79 8.490 277 3386.23 8.473 213 3385.31 8.471 208 3265.53 8.171 45 3257.29 8.151 1000 3248.75 8.129 48 3224.64 8.069 801 3134.16 7.843 86 3133.09 7.840 97 3127.29 7.826 139 3126.07 7.823 177 3121.80 7.812 32 3118.74 7.804 132 3117.07 7.800 170 3115.54 7.796 122 3109.74 7.782 143 3108.52 7.779 201 3107.30 7.776 133 3101.50 7.761 125 3100.13 7.758 130 3093.41 7.741 128 3092.50 7.739 137 3088.84 7.729 30 3085.02 7.720 164 3083.80 7.717 143 3078.00 7.702 95 3076.93 7.700 98 3056.03 7.647 120 3054.96 7.645 127 3047.94 7.627 204 3040.77 7.609 98 3039.70 7.606 103
更多供应商



