图谱信息 供应商 相关产品
网站主页CAS数据库列表 35700-40-4更多图谱2,3-二氢苯并呋喃-7-羧酸(35700-40-4)红外图谱(IR1)

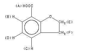
2,3-二氢苯并呋喃-7-羧酸

产品名称 2,3-二氢苯并呋喃-7-羧酸

CAS号35700-40-4

分子式C9H8O3

分子量164.16


  • Mass

    MS-IW-8674          
    2,3-dihydro-7-benzofurancarboxylic acid
    C9H8O3              (Mass of molecular ion:    164)
    

       Source Temperature: 160 °C
       Sample Temperature: 140 °C
       Direct, 75 eV
    

          18.0       1.0
          28.0       1.4
          39.0       4.3
          45.0       2.1
          45.5       1.2
          50.0       1.3
          51.0       2.7
          52.0       1.0
          53.0       1.5
          59.0       3.1
          62.0       2.0
          63.0       4.8
          64.0       1.4
          65.0       7.1
          66.0       1.3
          73.5       1.8
          77.0       2.2
          78.0       1.4
          79.0       1.0
          89.0       7.3
          90.0      12.0
          91.0      17.6
          92.0       2.1
         102.0       1.0
         105.0       2.0
         106.0       7.1
         107.0       1.0
         117.0       1.4
         118.0      42.6
         119.0      17.2
         120.0       3.8
         133.0       2.9
         134.0       5.7
         135.0       1.7
         145.0       3.3
         146.0       1.6
         147.0      16.5
         148.0       1.7
         163.0       2.6
         164.0     100.0
         165.0      10.1
         166.0       1.4
    

400 MHz in DMSO-d6


  • 1H NMR 399.65 MHz
    C9 H8 O3 0.040 g : 0.5 ml DMSO-d6
    2,3-dihydro-7-benzofurancarboxylic acid
    ChemicalStructure
        Assign.     Shift(ppm)
    A 12.6 B 7.591 C 7.425 D 6.880 E 4.604 F 3.193

         Hz     ppm     Int.
    

       5050.64  12.638    118
       3038.37   7.603    307
       3037.52   7.601    307
       3030.47   7.583    332
       3029.61   7.581    325
       2971.92   7.437    316
       2970.64   7.434    303
       2964.65   7.419    345
       2963.58   7.416    319
       2757.38   6.900    372
       2749.90   6.881    523
       2746.27   6.872     34
       2744.99   6.869     31
       2742.21   6.862    343
       1849.22   4.628    499
       1840.46   4.606   1000
       1831.70   4.584    535
       1285.10   3.216    339
       1276.33   3.194    633
       1267.57   3.172    325
    

in DMSO-d6



KBr disc



nujol mull