图谱信息 供应商 相关产品
网站主页CAS数据库列表 35737-15-6更多图谱Fmoc-L-色氨酸(35737-15-6)核磁图(1HNMR)

Fmoc-L-色氨酸

产品名称 Fmoc-L-色氨酸

CAS号35737-15-6

分子式C26H22N2O4

分子量426.46

展开


  • Mass

    MS-IW-3615          
    N(alpha)-(9-fluorenylmethoxycarbonyl)-L-tryptophane
    C26H22N2O4          (Mass of molecular ion:    426)
    

       Source Temperature: 180 °C
       Sample Temperature: 190 °C
       Direct, 75 eV
    

          17.0       1.1
          18.0       5.7
          28.0       3.5
          31.0       1.1
          39.0       1.6
          43.0       3.6
          44.0       2.4
          50.0       1.3
          51.0       2.7
          52.0       1.0
          57.0       1.3
          58.0       1.0
          62.0       1.3
          63.0       3.2
          65.0       1.1
          69.5       1.2
          74.0       1.6
          75.0       2.2
          76.0       2.9
          77.0       7.3
          78.0       1.0
          81.5       1.0
          82.5       1.5
          87.0       1.5
          88.0       3.1
          89.0       2.4
         102.0       3.3
         103.0       5.8
         115.0       3.2
         128.0       2.1
         129.0       3.5
         130.0     100.0
         131.0      10.6
         139.0       3.8
         151.0       1.1
         152.0       1.6
         162.0       1.0
         163.0       8.3
         164.0       7.3
         165.0      70.6
         166.0      52.3
         167.0       7.5
         176.0       2.5
         177.0       1.8
         178.0      12.8
         179.0       2.4
         196.0      22.1
         197.0       3.4
         230.0       9.4
         231.0       1.3
    

400 MHz in DMSO-d6


  • 1H NMR 399.65 MHz
    C26 H22 N2 O4 0.050 g : 0.5 ml DMSO-d6
    N(alpha)-(9-fluorenylmethoxycarbonyl)-L-tryptophane
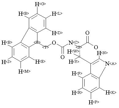
    ChemicalStructure
        Assign.     Shift(ppm)
    A 10.89 B 7.875 C 7.74 D *1 7.692 E *1 7.668 F 7.605 G *2 7.42 J *2 7.40 K 7.385 L *3 7.328 M *3 7.287 N 7.221 P 7.099 R 7.018 S 4.30 T 4.23 U 4.20 V *4 3.251 W *4 3.080 ASSIGNED BY H-H COSY AND ADDITION OF D2O. J(A,N)=2.1HZ J(C,S)=8.2HZ J(D,L)=7.5HZ J(E,M)=7.6HZ J(F,R)=7.8HZ J(S,V)=4.4HZ J(S,W)=9.9HZ J(V,W)=-14.8HZ

         Hz     ppm     Int.
    

       4352.57  10.891    396
       3151.55   7.886    707
       3143.92   7.867    779
       3096.01   7.747    404
       3087.77   7.727    430
       3083.04   7.715     61
       3078.31   7.703    401
       3070.83   7.684    486
       3068.24   7.678    465
       3060.61   7.659    447
       3043.52   7.616    416
       3035.74   7.596    422
       2972.11   7.437    205
       2965.39   7.420    505
       2964.78   7.419    505
       2959.29   7.405    567
       2955.63   7.396    625
       2952.58   7.388    371
       2951.97   7.387    370
       2947.39   7.375    588
       2942.20   7.362     85
       2941.89   7.362     85
       2939.15   7.355     61
       2936.55   7.348    272
       2935.49   7.346    299
       2929.08   7.330    404
       2928.01   7.327    437
       2923.74   7.316     69
       2920.07   7.307    370
       2919.01   7.304    318
       2915.50   7.296     73
       2912.45   7.288    423
       2911.53   7.286    461
       2904.97   7.269    205
       2904.05   7.267    218
       2887.27   7.225    635
       2885.13   7.220    636
       2877.66   7.201     62
       2875.98   7.197     53
       2874.91   7.194     50
       2845.92   7.122    211
       2845.00   7.119    222
       2842.25   7.112     64
       2837.98   7.102    414
       2833.40   7.090     62
       2830.81   7.084    257
       2829.90   7.081    262
       2811.58   7.036    275
       2810.82   7.034    295
       2803.80   7.016    415
       2799.07   7.004     50
       2796.78   6.999    185
       2796.02   6.997    193
       1728.67   4.326    119
       1724.24   4.315    136
       1719.21   4.302    201
       1715.85   4.294    191
       1714.78   4.291    185
       1710.97   4.282    161
       1706.24   4.270    144
       1697.69   4.248    248
       1694.49   4.240    336
       1689.15   4.227   1000
       1682.28   4.210    451
       1679.69   4.203    273
       1676.94   4.197    230
       1674.19   4.190    170
       1668.70   4.176    100
       1392.21   3.484     72
       1310.27   3.279    176
       1305.85   3.268    211
       1300.05   3.253     69
       1295.62   3.242    262
       1291.20   3.231    255
       1242.52   3.110    214
       1237.03   3.096     48
       1232.60   3.085    222
       1227.72   3.072    183
       1218.11   3.048    168
    

in DMSO-d6



KBr disc



nujol mull